What a compute-centric framework says about AI takeoff speeds
As part of my work for Open Philanthropy I’ve written a draft report on AI takeoff speeds, the question of how quickly AI capabilities might improve as we approach and surpass human-level AI. Will human-level AI be a bolt from the blue, or will we have AI that is nearly as capable many years earlier?
Most of the analysis is from the perspective of a compute-centric framework, inspired by that used in the Bio Anchors report, in which AI capabilities increase continuously with more training compute and work to develop better AI algorithms.
This post doesn’t summarise the report. Instead I want to explain some of the high-level takeaways from the research which I think apply even if you don’t buy the compute-centric framework.
The framework
h/t Dan Kokotajlo for writing most of this section
This report accompanies and explains https://takeoffspeeds.com (h/t Epoch for building this!), a user-friendly quantitative model of AGI timelines and takeoff, which you can go play around with right now. (By AGI I mean “AI that can readily[1] perform 100% of cognitive tasks” as well as a human professional; AGI could be many AI systems working together, or one unified system.)
The framework was inspired by and builds upon the previous “Bio Anchors” report. The “core” of the Bio Anchors report was a three-factor model for forecasting AGI timelines:
Dan’s visual representation of Bio Anchors report
Compute to train AGI using 2020 algorithms. The first and most subjective factor is a probability distribution over training requirements (measured in FLOP) given today’s ideas. It allows for some probability to be placed in the “no amount would be enough” bucket.
The probability distribution is shown by the coloured blocks on the y-axis in the above figure.
Algorithmic progress. The second factor is the rate at which new ideas come along, lowering AGI training requirements. Bio Anchors models this as a steady exponential decline.
It’s shown by the falling yellow lines.
Bigger training runs. The third factor is the rate at which FLOP used on training runs increases, as a result of better hardware and more $ spending. Bio Anchors assumes that hardware improves at a steady exponential rate.
The FLOP used on the biggest training run is shown by the rising purple lines.
Once there’s been enough algorithmic progress, and training runs are big enough, we can train AGI. (How much is enough? That depends on the first factor!)
This draft report builds a more detailed model inspired by the above. It contains many minor changes and two major ones.
The first major change is that algorithmic and hardware progress are no longer assumed to have steady exponential growth. Instead, I use standard semi-endogenous growth models from the economics literature to forecast how the two factors will grow in response to hardware and software R&D spending, and forecast that spending will grow over time. The upshot is that spending accelerates as AGI draws near, driving faster algorithmic (“software”) and hardware progress.
The key dynamics represented in the model. “Software” refers to the quality of algorithms for training AI.
The second major change is that I model the effects of AI systems automating economic tasks – and, crucially, tasks in hardware and software R&D – prior to AGI. I do this via the “effective FLOP gap:” the gap between AGI training requirements and training requirements for AI that can readily perform 20% of cognitive tasks (weighted by economic-value-in-2022). My best guess, defended in the report, is that you need 10,000X more effective compute to train AGI. To estimate the training requirements for AI that can readily perform x% of cognitive tasks (for 20 < x < 100), I interpolate between the training requirements for AGI and the training requirements for AI that can readily perform 20% of cognitive tasks.
Modeling the cognitive labor done by pre-AGI systems makes timelines shorter. It also gives us a richer language for discussing and estimating takeoff speeds. The main metric I focus on is “time from AI that could readily[2] automate 20% of cognitive tasks to AI that could readily automate 100% of cognitive tasks”. I.e. time from 20%-AI to 100%-AI.[3] (This time period is what I’m referring to when I talk about the duration of takeoff, unless I say otherwise.)
My personal probabilities[4] are still very much in flux and are not robust.[5] My current probabilities, conditional on AGI happening by 2100, are:
~10% to a <3 month takeoff [this is especially non-robust]
~25% to a <1 year takeoff
~50% to a <3 year takeoff
~80% to a <10 year takeoff
Those numbers are time from 20%-AI to 100%-AI, for cognitive tasks in the global economy. One factor driving fast takeoff here is that I expect AI automation of AI R&D to happen before AI automation of the global economy.[6] So by the time that 20% of tasks in the global economy could be readily automated, I expect that more than 20% of AI R&D will be automated, which will drive faster AI progress.
If I instead start counting from the time at which 20% of AI R&D can be automated, and stop counting when 100% of AI R&D can be automated, this factor goes away and my takeoff speeds are slower:
~10% to a <1 year takeoff
~30% to a <3 year takeoff
~70% to a <10 year takeoff
(Unless I say otherwise, when I talk about the duration of takeoff I’m referring to the time 20%-AI to 100%-AI for cognitive tasks in the global economy, not AI R&D.)
It’s important to note that my median AGI training requirements are pretty large − 1e36 FLOP using 2020 algorithms. Using lower requirements makes takeoff significantly faster. If my median AGI training requirements were instead ~1e31 FLOP with 2020 algorithms, my takeoff speeds would be:
~40% to a <1 year takeoff
~70% to a <3 year takeoff
~90% to a <10 year takeoff
The report also discusses the “time from AGI to superintelligence”. My best guess is that this takes less than a year absent humanity choosing to go slower (which we definitely should!).
Takeaways about capabilities takeoff speed
I find it useful to distinguish capabilities takeoff – how quickly AI capabilities improve around AGI – from impact takeoff – how quickly AI’s impact on a particular domain grows around AGI. For example, the latter is much more affected by deployment decisions and various bottlenecks.
The metric “time from 20%-AI to 100%-AI” is about capabilities, not impact, because 20%-AI is defined as AI that could readily automate 20% of economic tasks, not as AI that actually does automate them.
Even without any discontinuities, takeoff could last < 1 year
Even if AI progress is continuous, without any sudden kinks, the slope of improvement could be steep enough that takeoff is very fast.
Even in a continuous scenario, I put ~15% on takeoff lasting <1 year, and ~60% on takeoff lasting <5 years.[7] Why? On a high level, because:
It might not be that much harder to develop 100%-AI than 20%-AI.
AI will probably be improving very quickly once we have 20%-AI.
Going into more detail:
It might not be that much harder to develop 100%-AI than 20%-AI.
Perhaps chimps couldn’t perform 20% of tasks, even if they’d been optimized to do so. Humans have ~3X bigger brains than chimps by synapse count. That could mean that you only need to increase model size by 3X to go from 20%-AI to 100%-AI which, with Chinchilla scaling, would take 10X more training FLOP.
You might need to increase model size by less than 3X.
-
With Chinchilla scaling, a 3X bigger model gets 3X more data during training. But human lifetime learning only lasts 1-2X longer than chimp lifetime learning.[8]
-
So intelligence might improve more from a 3X increase in model size with Chinchilla scaling than from chimps to humans.
-
Brain size—IQ correlations suggest a similar conclusion. A 10% bigger brain is associated with ~5 extra IQ points. This isn’t much, but extrapolating the relationship implies that a 3X bigger brain would be ~60 IQ points smarter; and ML models may gain more from scale than humans as bigger models will be trained on more data (unlike bigger-brained humans).
It is pretty hard to partially automate a job, e.g. for AI to automate 20% of the tasks. All of the tasks are interconnected in a messy way! Everything is set up for one human, with full context, to do the work.
Normally, we restructure business processes to allow for partial automation. But this takes a lot of effort and time—typically decades! If the transition from 20%-AI to 100%-AI happens in just a few years (as implied by the other arguments in this section) there won’t be time for this kind of restructuring to happen.
In this case, I still expect partial automation to happen earlier than full automation because it will still be somewhat easier to develop AI that can partially automate a job (with only small efforts restructuring processes) than AI that can fully automate the job (with similarly small efforts restructuring processes). But it might only be slightly easier.
In other words, the lack of time for restructuring processes narrows the difficulty gap between developing 20%-AI and 100%-AI, but doesn’t eliminate it entirely.
(This point is closely related to the “sonic boom” argument for fast takeoff.)
AI will probably be improving very quickly once we have 20%-AI.
-
Algorithmic progress is already very fast. OpenAI estimates a 16 month doubling time for algorithmic efficiency on ImageNet; an recent Epoch analysis estimates just 10 months for the same quantity. My sense is that progress is if anything faster for LMs.
-
Hardware progress is already very fast. Epoch estimates that FLOP/$ has been doubling every 2.5 years.
-
Spending on AI development – AI training runs, AI software R&D, and hardware R&D – might rise rapidly after we have 20%-AI, and the strategic and economic benefits of AI are apparent.
-
20%-AI could readily add ~$10tr/year to global GDP.[9] Compared to this figure, investments in hardware R&D (~$100b/year) and AI software R&D (~$20b/year) are low.
-
For <1 year takeoffs, fast scale-up of spending on AI training runs, simply by using a larger fraction of the world’s chips, plays a central role.
-
-
Once we have 20%-AI (AI that can readily[10] automate 20% of cognitive tasks in the general economy), AI itself will accelerate AI progress. The easier AI R&D is to automate compared to the general economy, the bigger this effect.
How big might this effect be? This is a massive uncertainty for me but here are my current guesses. By the time we have 20%-AI I expect:
Conservatively, AI will have automated 20% of cognitive tasks in AI R&D, speeding up AI R&D progress by a factor of ~1.3. I think it’s unlikely (~15%) the effect is smaller than this.
Somewhat aggressively, AI will have automated 40% of cognitive tasks in AI R&D, speeding up AI R&D progress by a factor of ~1.8. I think there’s a decent chance (~30%) of getting bigger effects than this.
The speed up increases over time as AI automates more of AI R&D. When we simulate this dynamic we find AI automation reduces “time from 20%-AI to 100%-AI” by ~2.5X.
-
Combining the above, I think the “effective compute” on training runs (which incorporates better algorithms) will probably rise by >5X each year between 20%-AI and 100%-AI, and could rise by 100X each year.
-
We should assign some probability to takeoff lasting >5 years
I have ~40% on takeoff lasting >5 years. On a high-level my reasons are:
It might be a lot harder to develop 100%-AI than 20%-AI.
AI progress might be slower once we reach 20%-AI than it is today.
Going into more detail:
It might be a lot harder to develop 100%-AI than 20%-AI.
-
The key reason is that AI may have a strong comparative advantage at some tasks over other tasks, compared with humans. Its comparative advantages might allow it to automate 20% of tasks long before it can automate the full 100%. The bullets below expand on this basic point.
-
AI, and computers more generally, already achieve superhuman performance in many domains by exploiting massive AI-specific advantages (lots of experience/data, fast thinking, reliability, memorisation). It might be far harder for AI to automate tasks where these advantages aren’t as relevant.
-
We can visualise this using (an adjusted version of) the graph Dan Kokotajlo drew in his review of Joe Carlsmith’s report on power-seeking AI.
We’re currently in the left tail, where AI’s massive comparative advantages allow it to automate certain tasks despite being much less capable than humans overall. If AI automates 20% of tasks before the big hump, or the hump is wide, it will be much easier to develop 20%-AI than 100%-AI. -
Outside of AI, there’s generally a large precedent for humans finding simple, dumb ways to automate significant fractions of labour.
We may have automated >80% of the cognitive tasks that humans performed as of 1700 (most people worked in agriculture), but using methods that don’t get us close to automating 100% of them.
By analogy, AI may automate 20% of 2020 cognitive tasks using methods that don’t get AI close to automating 100% of them. If this happens gradually over many decades, it might feel like “progress as normal” rather than “AI is on the cusp of having a transformative economic impact”.
-
Within AI, there are many mechanisms that could give AI comparative advantages at some tasks but not others. AI is better placed to perform tasks with the following features:
-
AI can learn to perform the task with “short horizon training”, without requiring “long horizon training”.[11]
-
The task is similar to what AI is doing during pre-training (e.g. similar to “next word prediction”, in the case of large language models).
-
It’s easier to get large amounts of training data for the task, e.g. from human demonstrations.
-
Memorising lots of information improves task performance.
-
It’s important to “always be on” (no sleep), or to consistently maintain focus (no getting bored or slacking).
-
It’s easier to verify that an answer is correct than to generate the correct answer. (This helps to generate training data and allows us to trust AI outputs.)
-
The task doesn’t require strong sim2real transfer.
-
The downside of poor performance is limited. (We might not trust AI in scenarios where a mistake is catastrophic, e.g. driving.)
-
-
Human brains were “trained” by evolution and then lifetime learning in a pretty different way to how AIs are trained, and humans seem to have pretty different brain architectures to AIs in many ways. So humans might have big comparative advantages over AIs in certain domains. This could make it very difficult to develop 100%-AI.
-
GPT-N looks like it will solve some LM benchmarks with ~4 OOMs less training FLOP. In other words, it has strong “comparative advantages” at some benchmarks over others. I expect cognitive tasks throughout the entire economy to have more variation along many dimensions than these LM benchmarks, suggesting this example underestimates the difficulty gap between developing 20%-AI and 100%-AI.
-
It’s notable that most of the evidence discussed above for a small difficulty gap between 20%-AI and 100%-AI (in particular “chimps vs humans” and “brain size—IQ correlations”) completely ignore this point about “large comparative advantage at certain tasks” by assuming intelligence is on a one-dimensional spectrum.[12]
-
I find it most plausible that there’s a big difficulty gap between 20%-AI and 100%-AI if 100%-AI is very difficult to develop.
-
AI progress might be slower once we reach 20%-AI than it is today (though my best guess is that it will be faster).
A lot of recent AI progress has come from increasing the fraction of computer chips used to train AI. This can only go on for so long!
Hardware progress might be much more difficult by this time, as we approach the ultimate limits of the current hardware paradigm.
Both of these reasons are more likely to apply if 20%-AI is hard to develop, i.e. if timelines are long.
Above I discussed reasons why AI progress will probably be faster once we have 20%-AI: larger total $ investments in AI and AI automation. But these reasons may not apply strongly:
It might be hard to quickly convert “more $” into faster AI progress.
It may take years for new talent to be able to contribute to the cutting edge (especially with hardware R&D). So growing the total quality-adjusted talent in AI R&D might be slow.
Even if you could quickly double the amount of quality-adjusted R&D talent, that less-than-doubles the rate of progress due to duplication of effort and difficulties parallelising work (“nine mothers can’t make a baby in one month”).
Hard to scale up global production of AI chips, due to the immense complexity of the supply chain.
Limited effects of AI automation on AI R&D progress.
There will be some lags before AI is deployed in AI R&D.
Progress will be bottlenecked by the tasks AI can still not perform.
After we reach 20%-AI, we may become more concerned about various AI risks and deliberately slow down.
Takeoff won’t last >10 years unless 100%-AI is very hard to develop
As discussed above, AI progress is already very fast and will probably become faster once we have 20%-AI. If you think that even 10 years of this fast rate of progress won’t be enough to reach 100%-AI, that implies that 100%-AI is way harder to develop than 20%-AI.
In addition, I think that today’s AI is quite far from 20%-AI: its economic impact is pretty limited (<$100b/year), suggesting it can’t readily[13] automate even 1% of tasks. So I personally expect 20%-AI to be pretty difficult to develop compared to today’s AI.
This means that, if takeoff lasts >10 years, 100%-AI is a lot harder to develop than 20%-AI, which is itself a lot harder to develop than today’s AI. This all only works out if you think that 100%-AI is very difficult to develop. Playing around with the compute-centric model, I find it hard to get >10 year takeoff without assuming that 100%-AI would have taken >=1e38 FLOP to train with 2020 algorithms (which was the conservative “long horizon” anchor in Bio Anchors).
Time from AGI to superintelligence is probably less than 1 year
Recall that by AGI I mean AI that can readily perform ~100% of cognitive tasks as well as a human professional. By superintelligence I mean AI that very significantly surpasses humans at ~100% of cognitive tasks. My best guess is that the time between these milestones is less than 1 year, the primary reason being the massive amounts of AI labour available to do AI R&D, once we have AGI. More.
Takeaways about impact takeoff speed
Here I mostly focus on economic impact.
If we align AGI, I weakly expect impact takeoff to be slower than capabilities takeoff
I think there will probably just be a few years (~3 years) from 20%-AI to 100%-AI (in a capabilities sense). But, if AI is aligned, I think time from actually deploying AI in 20% to >95% of economic tasks will take many years (~10 years):
Standard deployment lags. It typically takes decades for new technologies to noticeably affect GDP growth, e.g. computers and the internet.
Political economy. Workers and organizations on course to be replaced by AI will attempt to block its deployment.
Caution. We should be, and likely will be, very cautious about handing over ~all decision making to advanced AI, even if we have strong evidence that it’s safe and aligned. (E.g. imagine the resistance to letting AI run the government.) This would probably mean that humans remain a “bottleneck” on AI’s economic impact for some time.
Even if we have compelling reasons to hand over all decisions to AI, I still expect there to be a lot of (perhaps unreasonable) caution – AIs making decisions will feel creepy and weird to many people.
I’m not confident about this. Here are some countervailing considerations:
Less incentive to deploy AI before superintelligence.
If a lab faces a choice between deploying their current SOTA AIs in the economy vs investing in improving SOTA, they may choose the latter if they think they could automate AI R&D and thereby accelerate their lab’s AI progress.
Eventually though, after the “better AI → faster AI R&D progress” feedback loop has fizzled out (perhaps after they’ve developed superhuman AI), labs’ incentive will simply be to deploy. There could be an extremely fast impact takeoff when labs suddenly start trying to deploy their superhuman AIs.
Superhuman AIs quickly circumvent barriers to deployment. Perhaps pre-AGI systems mostly aren’t deployed due to barriers like regulations. But superhuman aligned AI might be able to quickly navigate these barriers, e.g. good-faith convincing human regulators to deploy it more widely so it can cure diseases.
Many of the above points, on both sides, apply more weakly to the impact of AI on AI R&D than on the general economy. For example, I expect regulation to apply less strongly in AI R&D, and also for lab incentives to favour deployment of AIs in AI R&D (especially software R&D). So I expect impact takeoff within AI R&D to match capabilities takeoff fairly closely.
If we don’t align AGI, I expect impact takeoff to be faster than capabilities takeoff
If AGI isn’t aligned, then AI’s impact could increase very suddenly at the point when misaligned AIs first collectively realise that they can disempower humanity and try to do so. Before this point, human deployment decisions (influenced by regulation, general caution, slow decision making, etc) limit AI’s impact; afterwards AIs forcibly circumvent these decisions.[14]
Some chance of <$3tr/year economic impact from AI before we have AI that could disempower humanity
I’m at ~15% for this. (For reference, annual revenues due to AI today are often estimated at ~$10-100b,[15] though this may be smaller than AI’s impact on GDP.)
Here are some reasons this could happen:
Fast capabilities takeoff. There might be only a few years from “AI that could readily add $3tr/year to world GDP” to AI that could disempower humanity. See above arguments.
Significant lags to deploying AI systems in the broader economy. See above points.
As above, I expect there will be fewer lags to deployment in AI R&D. I’m not counting work done by AI within AI R&D as counting towards the “$3tr”.
Labs may prioritise improving SOTA AI over deploying it. Discussed above; this could continue until labs develop AI that could disempower humanity.
On the other hand, even if leading labs strongly prioritise deploying AIs internally, they’ll probably expend some effort plucking the low-hanging fruit for deploying it in the broader economy to make money and generate more investment. And even if leading labs don’t do this, other labs may specialise in training AI to be deployed in the broader economy.
Why am I not higher on this?
-
$3tr/year only corresponds to automating ~6% of cognitive tasks;[16] I expect AI will be able to perform >60%, and probably >85% of cognitive tasks before it can disempower humanity. That’s a pretty big gap in AI capabilities!
-
People will be actively trying to create economic value from AI and also actively trying to prevent AI from being able to disempower humanity.
We’ll train AI specifically to be good at economically valuable tasks and not train AI to be good at “taking over the world” tasks (modulo the possibility of using AI in the military).
We’ll make adjustments to workflows etc. to facilitate AI having economic impact, and (hopefully!) make adjustments to protect against AI takeover.
-
I have a fairly high estimate of the difficulty of developing AGI. I think we’re unlikely to develop AGI by 2030, by which time AI may already be adding >$3tr/year to world GDP.
My “15%” probability here feels especially non-robust, compared to the others in this post.
Takeaways about AI timelines
Multiple reasons to have shorter timelines compared to what I thought a few years ago
Here’s a list (including some repetition from above):
Growing $ investment in training runs, software R&D and hardware R&D, once AI can readily automate non-trivial fractions of cognitive labour (e.g >3%).
AI automation of AI R&D accelerating AI progress. Firstly, it may be easier to fully automate AI R&D than to fully automate cognitive labour in general. Secondly, even partial R&D automation can significantly speed up AI progress.
“Swimming in runtime compute”.
-
If AGI can’t be trained by ~2035 (as I think is likely), then we’ll have a lot of runtime compute lying around, e.g. enough to run 100s of millions of SOTA AIs.[17]
-
It may be possible to leverage this runtime compute to “boost” the capabilities of pre-AGI systems. This would involve using existing techniques for this like “chain of thought”, “best of N sampling” and MCTS, as well as finding novel techniques. As a result, we might fully automate AI R&D much sooner than we otherwise would.
-
I think this factor alone could easily shorten timelines by ~5 years if AGI training requirements are my best guess (1e36 FLOP with 2020 algorithms). It shortens timelines more(/less) if training requirements are bigger(/smaller).
-
Faster software progress. I put more probability on algorithmic progress for training AGI being very fast than previously. This is from fast software progress for LMs (e.g. Chinchilla scaling) and recent analysis from Epoch.
Harder than I thought to avoid AGI by 2060
To avoid AGI by 2060, we cannot before 2040 develop “AI that is so good that AGI follows within a couple of decades due to [rising investment and/or AI itself accelerating AI R&D progress]”. As discussed above, this latter target might be much easier to hit. So my probability of AGI by 2060 has risen.
Relatedly, I used to update more on growth economist-y concerns like “ah but if AI can automate 90% of tasks but not the final 10%, that will bottleneck its impact”. Now I think “well if AI automates 90% of cognitive tasks that will significantly accelerate AI R&D progress and attract more investment in AI, so it won’t be too long before AI can perform 100%”.
Takeaways about the relationship between takeoff speed and AI timelines
The easier AGI is to develop, the faster takeoff will be
Probably the biggest determinant of takeoff speeds is the difficulty gap between 100%-AI and 20%-AI. If you think that 100%-AI isn’t very difficult to develop, this upper-bounds how large this gap can be and makes takeoff faster.
In the lower scenario AGI is easier to develop and, as a result, takeoff is faster.
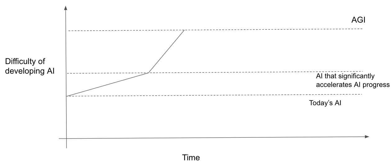
Holding AGI difficulty fixed, slower takeoff → earlier AGI timelines
If takeoff is slower, there is a bigger difficulty gap between AGI and “AI that significantly accelerates AI progress”. Holding fixed AGI difficulty, that means “AI that significantly accelerates AI progress” happens earlier. And so AGI happens earlier. (This point has been made before.)
Two scenarios with the same AGI difficulty. In the lower scenario takeoff is slower and, as a result, AGI happens sooner.
The model in the report quantifies this tradeoff. When I play around with it I find that, holding the difficulty of AGI constant, decreasing the time from 20%-AI to 100%-AI by two years delays 100%-AI by three years.[19] I.e. make takeoff two years shorter → delay 100%-AI by three years.
How does the report relate to previous thinking about takeoff speeds?
Eliezer Yudkowsky’s Intelligence Explosion Microeconomics
Intelligence explosion microeconomics (IEM) doesn’t argue for takeoff happening in weeks rather than in years, so doesn’t speak to whether takeoff is faster or slower than I conclude. More.
I think of my report as providing one possible quantitative framework for Intelligence Explosion Microeconomics. It makes IEM’s qualitative claims quantitative by drawing on empirical evidence about the returns to hardware + software R&D, how intelligence scales with additional compute and better algorithms, and how cognitive output scales with intelligence. More.
I think Eliezer’s thinking about takeoff speeds is influenced by his interpretation of the chimp-human transition. I chatted to Nate Soares about this transition and its implications for AI takeoff speeds; I describe my understanding of Nate’s view here.
I currently and tentatively put ~6% on a substantial discontinuity[20] in AI progress around the human range; but this was not the main focus of my research. More.
Paul Christiano
I think Paul Christiano’s 2018 blog post does a good job of arguing that takeoff is likely to be continuous. It also claims that takeoff will probably be slow. My report highlights the possibility that takeoff could be continuous but still be pretty fast, and the Monte Carlo analysis spits out the probability that takeoff is “fast” according to the definitions in the 2018 blog post.
More.
Notes
- ↩︎
By “AI can readily perform a task” I mean “performing the task with AI could be done with <1 year of work spent engineering and rearranging workflows, and this would be profitable”.
- ↩︎
Recall that “readily” means “automating the task with AI would be profitable and could be done within 1 year”.
- ↩︎
100%-AI is different from AGI only in that 100%-AI requires that we have enough runtime compute to actually automate all instances of cognitive tasks that humans perform, whereas AGI just requires that AI could perform any (but not all) cognitive tasks.
- ↩︎
To arrive at these probabilities I took the results of the model’s Monte Carlo analysis and adjusted them based on the model’s limitations – specifically the model excluding certain kinds of discontinuities in AI progress and ignoring certain frictions to developing and deploying AI systems.
- ↩︎
Not robust means that further arguments and evidence could easily change my probabilities significantly, and that it’s likely that in hindsight I’ll think these numbers were unreasonable given the current knowledge available to me.
- ↩︎
Why? Firstly, I think the cognitive tasks in AI R&D will be particularly naturally suited for AI automation, e.g. because there is lots of data for writing code, AI R&D mostly doesn’t require manipulating things in the real world, and indeed AI is already helping with AI R&D. Secondly, I expect AI researchers to prioritise automating AI R&D over other areas because they’re more familiar with AI R&D tasks, there are fewer barriers to deploying AI in their own workflows (e.g. regulation, marketing to others), and because AI R&D will be a very valuable part of the economy when we’re close to AGI.
- ↩︎
These probabilities are higher than the ones above because here I’m ignoring types of discontinuities that aren’t captured by having a small “effective FLOP gap” between 20%-AI and 100%-AI.
- ↩︎
Chimps reach sexual maturity around 7 and can live until 60, suggesting humans have 1-2X more time for learning rather than 3X.
- ↩︎
World GDP is ~$100tr, about half of which is paid to human labour. If AI automates 20% of that work, that’s worth ~$10tr/year.
- ↩︎
Reminder: “AI can readily automate X” means “automating X with AI would be profitable and could be done within 1 year”.
- ↩︎
The “horizon length” concept is from Bio Anchors. Short horizons means that each data point requires the model to “think” for only a few seconds; long horizons means that each data point requires the model to “think” for months, and so training requires much more compute.
- ↩︎
Indeed, my one-dimensional model of takeoff speeds predicts faster takeoff.
- ↩︎
Reminder: “AI can readily automate X” means “automating X with AI would be profitable and could be done within 1 year”.
- ↩︎
This falls under “Superhuman AIs quickly circumvent barriers to deployment”, from above.
- ↩︎
- ↩︎
World GDP is ~$100tr, about half of which is paid to human labour. If AI automates 6% of that work, that’s worth ~$3tr/year.
- ↩︎
Here’s a rough BOTEC (h/t Lukas Finnveden).
- ↩︎
- ↩︎
Reminder: x%-AI is AI that could readily automate x% of cognitive tasks, weighted by their economic value in 2020.
- ↩︎
By “ substantial discontinuous jump” I mean “>10 years of progress at previous rates occurred on one occasion”. (h/t AI impacts for that definition)
- Nobody’s on the ball on AGI alignment by (EA Forum; 29 Mar 2023 14:26 UTC; 328 points)
- AI Timelines by (10 Nov 2023 5:28 UTC; 302 points)
- The case for ensuring that powerful AIs are controlled by (24 Jan 2024 16:11 UTC; 282 points)
- Why I think it’s important to work on AI forecasting by (EA Forum; 27 Feb 2023 21:24 UTC; 179 points)
- The Rationale-Shaped Hole At The Heart Of Forecasting by (EA Forum; 2 Apr 2024 15:51 UTC; 161 points)
- Announcing the Open Philanthropy AI Worldviews Contest by (EA Forum; 10 Mar 2023 2:33 UTC; 137 points)
- A proposed method for forecasting transformative AI by (10 Feb 2023 19:34 UTC; 122 points)
- A breakdown of AI capability levels focused on AI R&D labor acceleration by (22 Dec 2024 20:56 UTC; 120 points)
- What is the current most representative EA AI x-risk argument? by (EA Forum; 15 Dec 2023 22:04 UTC; 117 points)
- Success without dignity: a nearcasting story of avoiding catastrophe by luck by (EA Forum; 15 Mar 2023 20:17 UTC; 114 points)
- Long Reflection Reading List by (EA Forum; 24 Mar 2024 16:27 UTC; 101 points)
- Nobody’s on the ball on AGI alignment by (29 Mar 2023 17:40 UTC; 94 points)
- Success without dignity: a nearcasting story of avoiding catastrophe by luck by (14 Mar 2023 19:23 UTC; 91 points)
- A Playbook for AI Risk Reduction (focused on misaligned AI) by (6 Jun 2023 18:05 UTC; 90 points)
- Voting Results for the 2023 Review by (6 Feb 2025 8:00 UTC; 88 points)
- AIs accelerating AI research by (EA Forum; 12 Apr 2023 11:41 UTC; 84 points)
- 's comment on Contradict my take on OpenPhil’s past AI beliefs by (21 Dec 2025 17:33 UTC; 82 points)
- A Playbook for AI Risk Reduction (focused on misaligned AI) by (EA Forum; 6 Jun 2023 18:05 UTC; 81 points)
- My favorite AI governance research this year so far by (EA Forum; 23 Jul 2023 22:00 UTC; 81 points)
- MATS AI Safety Strategy Curriculum by (7 Mar 2024 19:59 UTC; 74 points)
- Aptitudes for AI governance work by (EA Forum; 13 Jun 2023 13:54 UTC; 68 points)
- Continuous doesn’t mean slow by (EA Forum; 10 May 2023 12:17 UTC; 64 points)
- Before smart AI, there will be many mediocre or specialized AIs by (26 May 2023 1:38 UTC; 59 points)
- Future Matters #7: AI timelines, AI skepticism, and lock-in by (EA Forum; 3 Feb 2023 11:47 UTC; 54 points)
- Efficiency and resource use scaling parity by (21 Aug 2023 0:18 UTC; 51 points)
- 's comment on ryan_greenblatt’s Shortform by (21 Jan 2025 4:43 UTC; 44 points)
- Project ideas: Governance during explosive technological growth by (EA Forum; 4 Jan 2024 7:25 UTC; 37 points)
- Review Report of Davidson on Takeoff Speeds (2023) by (22 Dec 2023 18:48 UTC; 37 points)
- When do experts think human-level AI will be created? by (EA Forum; 2 Jan 2025 23:17 UTC; 33 points)
- AI governance and strategy: a list of research agendas and work that could be done. by (EA Forum; 12 Mar 2024 11:21 UTC; 33 points)
- Operationalizing timelines by (EA Forum; 10 Mar 2023 17:30 UTC; 30 points)
- Some thoughts on automating alignment research by (26 May 2023 1:50 UTC; 30 points)
- 's comment on Contradict my take on OpenPhil’s past AI beliefs by (22 Dec 2025 10:39 UTC; 27 points)
- My favorite AI governance research this year so far by (23 Jul 2023 16:30 UTC; 26 points)
- Considerations on transformative AI and explosive growth from a semiconductor-industry perspective by (EA Forum; 31 May 2023 1:11 UTC; 23 points)
- [EA xpost] The Rationale-Shaped Hole At The Heart Of Forecasting by (2 Apr 2024 17:40 UTC; 22 points)
- 's comment on Announcing the Winners of the 2023 Open Philanthropy AI Worldviews Contest by (EA Forum; 30 Sep 2023 20:30 UTC; 20 points)
- Project ideas: Governance during explosive technological growth by (4 Jan 2024 23:51 UTC; 20 points)
- 's comment on A proposed method for forecasting transformative AI by (13 Feb 2023 16:19 UTC; 15 points)
- 's comment on The basic reasons I expect AGI ruin by (18 Apr 2023 16:35 UTC; 15 points)
- 's comment on Neither EA nor e/acc is what we need to build the future by (28 Nov 2023 16:23 UTC; 13 points)
- 's comment on A proposed method for forecasting transformative AI by (11 Feb 2023 0:45 UTC; 10 points)
- 's comment on Contra Yudkowsky on Doom from Foom #2 by (27 Apr 2023 18:01 UTC; 10 points)
- When do experts think human-level AI will be created? by (30 Dec 2024 6:20 UTC; 10 points)
- AI governance and strategy: a list of research agendas and work that could be done. by (13 Mar 2024 21:23 UTC; 9 points)
- 's comment on ryan_greenblatt’s Shortform by (6 Jan 2025 18:34 UTC; 8 points)
- 's comment on Matthew Barnett’s Shortform by (28 Jan 2024 18:09 UTC; 8 points)
- 's comment on Contradict my take on OpenPhil’s past AI beliefs by (22 Dec 2025 8:43 UTC; 8 points)
- 's comment on AI Timelines by (11 Sep 2024 16:21 UTC; 7 points)
- Operationalizing timelines by (10 Mar 2023 16:30 UTC; 7 points)
- 's comment on Why I take short timelines seriously by (29 Jan 2024 22:50 UTC; 6 points)
- 's comment on Where’s the foom? by (12 Apr 2023 1:20 UTC; 5 points)
- 's comment on 2022 was the year AGI arrived (Just don’t call it that) by (30 Jan 2023 17:24 UTC; 5 points)
- 's comment on Ryan Kidd’s Shortform by (27 Jan 2025 18:41 UTC; 5 points)
- 's comment on Daniel Kokotajlo’s Shortform by (2 Oct 2024 18:31 UTC; 4 points)
- 's comment on Disagreement with bio anchors that lead to shorter timelines by (17 Dec 2023 9:22 UTC; 2 points)
- 's comment on Scenario planning for AI x-risk by (23 Apr 2024 23:52 UTC; 2 points)
- Non-loss of control AGI-related catastrophes are out of control too by (12 Jun 2023 12:01 UTC; 2 points)
- 's comment on AI Timelines by (11 Sep 2024 17:13 UTC; 1 point)
The takeoffspeeds.com model Davidson et al worked on is still (unfortunately) the world’s best model of AGI takeoff. I highly encourage people to play around with it, perhaps even to read the research behind it, and I’m glad LessWrong is a place that collects and rewards work like this.