Natural Latents: The Math
Natural latents are a relatively elegant piece of math which we figured out over the past year, in our efforts to boil down and generalize various results and examples involving natural abstraction. In particular, this new framework handles approximation well, which was a major piece missing previously. This post will present the math of natural latents, with a handful of examples but otherwise minimal commentary. If you want the conceptual story, and a conceptual explanation for how this might connect to various problems, that will probably be in a future post.
While this post is not generally written to be a “concepts” post, it is generally written in the hope that people who want to use this math will see how to do so.
2-Variable Theorems
This section will present a simplified but less general version of all the main theorems of this post, in order to emphasize the key ideas and steps.
Simplified Fundamental Theorem
Suppose we have:
A distribution over random variables
A latent variable which induces independence between and (first diagram below)
Another latent variable about which and give the same information (second diagram below)
Further, assume that mediates between and (third diagram below). This last assumption can typically be satisfied by construction in the minimality/maximality theorems below.
Then, claim: mediates between and .
Intuition
Picture as a pipe between and . The only way any information can get from to is via that pipe (that’s the first diagram). is a piece of information which is present in both and - something we can learn from either of them (that’s the second pair of diagrams). Intuitively, the only way that can happen is if the information went through the pipe—meaning that we can also learn it from .
The third diagram rules out three-variable interactions which could mess up that intuitive picture—for instance, the case where one bit of is an xor of some independent random bit of and a bit of .
Qualitative Example
Let and be the low-level states of two spatially-separated macroscopic chunks of an ideal gas at equilibrium. By looking at either of the two chunks, I can tell whether the temperature is above 50°C; call that More generally, the two chunks are independent given the pressure and temperature of the gas; call that .
Notice that is a function of , i.e. I can compute whether the temperature is above 50°C from the pressure and temperature itself, so mediates between and .
Some extensions of this example:
We could add more information to . For instance, could be the pressure and temperature and also the outcome of a die roll unrelated to the gas. Or, could be the entire low-level state of one of the two chunks.
We could remove information from For instance, could be a bit indicating whether the temperature is above 100°C
Intuitive mental picture: in general, can’t have “too little” information; it needs to include all information shared (even partially) across and . on the other hand, can’t have “too much” information; it can only include information which is fully shared across and .
Proof
This is a diagrammatic proof; see Some Rules For An Algebra Of Bayes Nets for how to read it. (That post also walks through a version of this same proof as an example, so you should also look there if you want a more detailed walkthrough.)
(Throughout this post, denotes all components of except for .)
Approximation
If the starting diagrams are satisfied approximately (i.e. they have small KL-divergence from the underlying distribution), then the final diagram is also approximately satisfied (i.e. has small KL-divergence from the underlying distribution). We can find quantitative bounds by propagating error through the proof:
Again, see the Algebra of Bayes Nets post for an unpacking of this notation and the proofs for each individual step.
Qualitative Example
Note that our previous example realistically involved approximation: two chunks of an ideal gas won’t be exactly independent given pressure and temperature. But they’ll be independent to a very (very) tight approximation, so our conclusion will also hold to a very tight approximation.
Quantitative Example
Suppose I have a biased coin, with bias . Alice flips the coin 1000 times, then takes the median of her flips. Bob also flips the coin 1000 times, then takes the median of his flips. We’ll need a prior on , so for simplicity let’s say it’s uniform on [0, 1].
Intuitively, so long as bias is unlikely to be very close to ½, Alice and Bob will find the same median with very high probability. So:
Let be Alice’ 1000 flips, and be Bob’s 1000 flips.
Let be the bias . Note that the flips are independent given , satisfying our first condition exactly.
Let be the median computed by either Bob or Alice (we’re assuming they are the same with high probability). Since the same median can be computed with high probability from either or , our second condition is approximately satisfied.
Since the median is computed as a deterministic function of , our third condition is satisfied exactly.
The fundamental theorem will then say that the bias approximately mediates between the median (either Alice’ or Bob’s) and the coinflips .
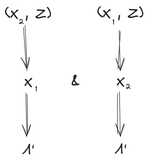
To quantify the approximation on the fundamental theorem, we first need to quantify the approximation on the second condition (the other two conditions hold exactly in this example, so their ‘s are 0). Let’s take to be Alice’ median. Alice’ flips mediate between Bob’s flips and the median exactly (i.e. ), but Bob’s flips mediate between Alice’ flips and the median (i.e. ) only approximately. Let’s compute that :
This is a dirichlet-multinomial distribution, so it will be cleaner if we rewrite in terms of , , and . is a function of , so the is
Assuming I simplified the gamma functions correctly, we then get:
(i.e. uniform over 0, …, n)
… and there’s only values of , so we can combine those expressions with a python script to evaluate everything:
import numpy as np
from scipy.special import gammaln, logsumexp, xlogy
n = 1000
p_N2 = np.ones(n+1)/(n+1)
N1 = np.outer(np.arange(n + 1), np.ones(n + 1))
N2 = np.outer(np.ones(n + 1), np.arange(n + 1))
# logP[N1|N2]; we're tracking log probs for numerical stability
lp_N1_N2 = (gammaln(n + 2) - gammaln(N2 + 1) - gammaln(n - N2 + 1) +
gammaln(n + 1) - gammaln(N1 + 1) - gammaln(n - N1 + 1) +
gammaln(N1 + N2 + 1) + gammaln(2*n - N1 - N2 + 1) - gammaln(2*n + 2))
# logP[\Lambda' = 0|N2] and logP[\Lambda' = 1|N2]
lp_lam0_N2 = logsumexp(lp_N1_N2[:500], axis=0)
lp_lam1_N2 = logsumexp(lp_N1_N2[500:], axis=0)
p_lam0_N2 = np.exp(lp_lam0_N2)
p_lam1_N2 = np.exp(lp_lam1_N2)
print(p_lam0_N2 + p_lam1_N2) # Check: these should all be 1.0
# ... aaaand then it's just the ol' -p * logp to get the expected entropy E[H(\Lambda')|N2]
H = - np.sum(p_lam0_N2 * lp_lam0_N2 * p_N2) - np.sum(p_lam1_N2 * lp_lam1_N2 * p_N2)
print(H / np.log(2)) # Convert to bitsThe script spits out H = 0.058 bits. Sanity check: the main contribution to the entropy should be when is near 0.5, in which case the median should have roughly 1 bit of entropy. How close to 0.5? Well, with data points, posterior uncertainty should be of order , so the estimate of should be precise to roughly in either direction. is initially uniform on [0, 1], so distance 0.03 in either direction around 0.5 covers about 0.06 in prior probability, and the entropy should be roughly that times 1 bit, so roughly 0.06 bits. Which is exactly what we found (closer than this sanity check had any business being, really); sanity check passes.
Returning to the fundamental theorem: is 0, is 0, is roughly 0.058 bits. So, the theorem says that the coin’s true bias approximately mediates between the coinflips and Alice’ median, to within 0.12 bits.
Exercise: if we track the ’s a little more carefully through the proof, we’ll find that we can actually do somewhat better in this case. Show that, for this example, the coin’s true bias approximately mediates between the coinflips and Alice’ median to within , i.e. roughly 0.058 bits.
Extension: More Stuff In The World
Let’s add another random variable to the setup, representing other stuff in the world. can have any relationship at all with , but must still induce independence between and . Further, must not give any more information about than was already available from or . Diagrams:
Then, as before, we conclude
For instance, in our ideal gas example, we could take to be the rest of the ideal gas (besides the two chunks and ). Then, our earlier conclusions still hold, even though there’s “more stuff” physically in between and and interacting with both of them.
The proof goes through much like before, with an extra Z dangling everywhere:
And, as before, we can propagate error through the proof to obtain an approximate version:
Natural Latents
Suppose that a single latent variable (approximately) satisfies both the first two conditions of the Fundamental Theorem, i.e.
We call these the “naturality conditions”. If (approximately) satisfies both conditions, then we call a “natural latent”.
Example: if and are two spatially-separated mesoscopic chunks of an ideal gas, then the tuple (pressure, temperature) is a natural latent between the two. The first property (“mediation”) applies because pressure and temperature together determine all the intensive quantities of the gas (like e.g. density), and the low-level state of the gas is (approximately) independent across spatially-separated chunks given those quantities. The second property (“insensitivity”) applies because the pressure and temperature can be precisely and accurately estimated from either chunk.
The Resample
Recall earlier that we said the condition
would be satisfied by construction in our typical use-case. It’s time for that construction.
The trick: if we have a natural latent , then construct a new natural latent by resampling conditional on (i.e. sample from ), independently of whatever other stuff we’re interested in. The resampled will have the same joint distribution with as does, so it will also be a natural latent, but it won’t have any “side-channel” interactions with other variables in the system—all of its interactions with everything else are mediated by , by construction.
From here on out, we’ll usually assume that natural latents have been resampled (and we’ll try to indicate that with the phrase “resampled natural latent”).
Minimality & Maximality
Finally, we’re ready for our main theorems of interest about natural latents.
Assume that is a resampled natural latent over . Take any other latent about which and give (approximately) the same information, i.e.
Then, by the fundamental theorem:
So is, in this sense, the “most informative” latent about which and give the same information:
and give (approximately) the same information about , and for any other latent such that and give (approximately) the same information about tells us (approximately) everything which does about (and possibly more). This is the “maximality condition”.
Flipping things around: take any other latent which (approximately) induces independence between and :
By the fundamental theorem:
So is, in this sense, the “least informative” latent which induces independence between and :
(approximately) induces independence between and , and for any other latent which (approximately) induces independence between and , tells us (approximately) everything which does about (and possibly more). This is the “minimality condition”.
Further notes:
The minimality condition implies the natural latent conditions. Proof: take to be either or .
Both minimality and maximality imply a unique standard form (see appendix), so any resampled natural latent in standard form is also the unique natural and minimal and maximal latent in standard form. (In the approximate case, this becomes approximate uniqueness.) Furthermore, any natural latent can be transformed into standard form (as the phrase “standard form” implies).
In standard form, a natural latent is always approximately a deterministic function of . Specifically: .
Natural and minimal latents do not always exist, and maximal latents sometimes exist in cases where natural/minimal latents don’t. (For example, if and are two flips of a biased coin of unknown bias, then no natural latent exists to a good approximation. Intuitively, it’s because we don’t have enough data to precisely identify the bias which mediates between the datapoints.)
Basically everything about approximation and other parts of the world carries over to naturality/minimality/maximality.
Example
In the ideal gas example, two chunks of gas are independent given (pressure, temperature), and (pressure, temperature) can be precisely estimated from either chunk. So, (pressure, temperature) is (approximately) a natural latent across the two chunks of gas. The resampled natural latent would be the (pressure, temperature) estimated by looking only at the two chunks of gas.
If there is some other latent which induces independence between the two chunks (like, say, the low-level state trajectory of all the gas in between the two chunks), then the (pressure, temperature) estimated from the two chunks of gas must (approximately) be a function of that latent. And, if there is some other latent about which the two chunks give the same information (like, say, a bit which is 1 if-and-only-if temperature is above 50 °C), then (pressure, temperature) estimated from the two chunks of gas must (approximately) also give that same information.
General Case
Now we move on to more-than-two variables. The proofs generally follow the same structure as the two-variable case, just with more bells and whistles, and are mildly harder to intuit. This time, rather than ease into it, we’ll include approximation and other parts of the world () in the theorems upfront.
The Fundamental Theorem
Suppose we have:
A distribution over random variables , …, ,
A latent variable which induces independence between all (first diagram below)
A latent variable which is insensitive to any given all the others (second diagram below)
Further, assume that mediates between and (third diagram below). This last assumption will be exactly satisfied by construction in the minimality/maximality theorems below.
Then, claim: mediates between and .
The diagrammatic proof, with approximation:
Note that the error bound is somewhat unimpressive, since it scales with the system size. We can strengthen the approximation mainly by using a stronger insensitivity condition for - for instance, if is insensitive to either of two halves of the system, then we can reuse the error bounds from the simplified 2-variable case earlier.
Natural Latents
Suppose a single latent (approximately) satisfies both the main conditions
We call these the “naturality conditions”, and we call a (approximate) “natural latent” over .
The resample step works exactly as before: we’ll generally assume that has been resampled conditional on , and try to indicate that with the phrase “resampled natural latent”.
Minimality & Maximality
Assume is a resampled natural latent over . Take any other latent about which gives (approximately) the same information as for any :
By the fundamental theorem:
So is, in this sense, the “most informative” latent about which all give the same information:
All give (approximately) the same information about , and for any other latent such that all give (approximately) the same information about tells us (approximately) everything which does about (and possibly more). This is the “maximality condition”.
Flipping things around: take any other latent which (approximately) induces independence between components of . By the fundamental theorem:
So is, in this sense, the “least informative” latent which induces independence between components of :
(approximately) induces independence between components of , and for any other latent which (approximately) induces independence between components of , tells us (approximately) everything which does about (and possibly more). This is the “minimality condition”.
Much like the simplified 2-variable case:
The minimality condition implies the natural latent conditions. Proof: take to be , for each .
Both minimality and maximality imply an approximately unique standard form (see appendix), so any natural latent in standard form is also the approximately unique natural and minimal and maximal latent in standard form. Furthermore, any natural latent can be transformed into standard form (as the phrase “standard form” implies).
In standard form, a natural latent is always approximately a deterministic function of . Specifically: .
Natural and minimal latents do not always exist, and maximal latents sometimes exist in cases where natural/minimal latents don’t.
Everything about approximation and other parts of the world carries over to naturality/minimality/maximality.
Example
Suppose we have a die of unknown bias, which is rolled many times—enough to obtain a precise estimate of the bias many times over. Then, the die-rolls are independent given the bias, and we can get approximately-the-same estimate of the bias while ignoring any one die roll. So, the die’s bias is an approximate natural latent. The resampled natural latent is the bias sampled from a posterior distribution of the bias given the die rolls.
One interesting thing to note in this example: imagine that, instead of resampling the bias given the die rolls, we use the average frequencies from the die rolls. Would that be a natural latent? Answer in spoiler text:
The average frequencies tell us the exact counts of each outcome among the die rolls. So, with the average frequencies and all but one die roll, we can back out the value of that last die roll with certainty: just count up outcomes among all the other die rolls, then see which outcome is “missing”. That means the average frequencies and together give us much more information about than either one alone; neither of the two natural latent conditions holds.
This example illustrates that the “small” uncertainty in is actually load-bearing in typical problems. In this case, the low-order bits of the average frequencies contain lots of information relevant to , while the low-order bits of the natural latent don’t.
The most subtle challenges and mistakes in using natural latents tend to hinge on this point.
Other Threads
We’ve now covered the main theorems of interest. This section offers a couple of conjectures, with minimal commentary.
Universal Natural Latent Conjecture
Suppose there exists an approximate natural latent over . Construct a new random variable sampled from the distribution . (In other words: simultaneously resample each given all the others.) Conjecture: is an approximate natural latent (though the approximation may not be the best possible). And if so, a key question is: how good is the approximation?
Further conjecture: a natural latent exists over if-and-only-if is a natural latent over .(Note that we can always construct , regardless of whether a natural latent exists, and will always exactly satisfy the first natural latent condition over by construction.) Again, assuming the conjecture holds at all, a key question is to find the relevant approximation bounds.
Maxent Conjecture
Assuming the universal natural latent conjecture holds, whenever there exists a natural latent and would approximately satisfy both of these two diagrams:
If we forget about all the context and just look at these two diagrams, one natural move is:
Convert to undirected graphical models (in this case, just remove the arrowheads)
Apply the Hammersley-Clifford method
… and the result would be that must be of the maxent form
for some .
Unfortunately, Hammersley-Clifford requires everywhere. Probabilities of zero are extremely load-bearing for natural latents in the exact case, and probabilities near zero are load-bearing in the approximate case; if the distribution is zero nowhere, then it can only have a natural latent if the ’s are all independent (in which case the trivial variable is a natural latent).
On the other hand, maxent sure does seem to be a theme of natural latents in e.g. physics. So the question is: does some version of this argument work? If there are loopholes, are there relatively few qualitative categories of loopholes which could be classified?
Appendix: Machinery For Latent Variables
If you get confused about things like “what exactly is a latent variable?”, this is the appendix for you.
For our purposes, a latent variable over a random variable is defined by a distribution function - i.e. a distribution which tells us how to sample from . For instance, in the ideal gas example, the latent “average temperature” () can be defined by the distribution of average energy as a function of the gas state () - in this case a deterministic distribution, since average energy is a deterministic function of the gas state. As another example, consider the unknown bias of a die () and a bunch of rolls of the die (). We would take the latent bias to be defined by the function mapping the rolls to the posterior distribution of the bias given the rolls .
So, if we talk about e.g. “existence of a latent with the following properties …”, we’re really talking about the existence of a conditional distribution function , such that the random variable which it introduces satisfies the relevant properties. When we talk about “any latent satisfying the following properties …”, we’re really talking about any conditional distribution function such that the variable satisfies the relevant properties.
Toy mental model behind this way of treating latent variables: there are some variables out in the world, and those variables have some “true frequencies” . Different agents learn to model those true frequencies using different generative models, and those different generative models each contain their own latents. So the underlying distribution is fixed, but different agents introduce different latents with different ; is taken to be definitional because it tells us everything about the joint distribution of and which is not already pinned down by . (This is probably not the most general/powerful mental model to use for this math, but it’s a convenient starting point.)
Standard Form of a Latent Variable
Suppose that consists of a bunch of rolls of a biased die, and a latent consists of the bias of the die along with the flip of one coin which is completely independent of the rest of the system. A different latent for the same system consists of just the bias of the die. We’d like some way to say that these two latents contain the same information for purposes of .
To do that, we’ll introduce a “standard form” (relative to ) for any latent variable :
We’ll say that a latent is “in standard form” if, when we use the above function to put it into standard form, we end up with a random variable equal to the original. So, a latent in standard form satisfies
As the phrase “standard form” suggests, putting a standard form latent into standard form leaves it unchanged, i.e. will satisfy for any latent ; that’s a lemma of the minimal map theorem.
Conceptually: the standard form throws out all information which is completely independent of , and keeps everything else. In standard statistics jargon: the likelihood function is always a minimal sufficient statistic. (See the minimal map theorem for more explanation.)
Addendum [Added June 12 2024]: Approximate Isomorphism of Natural Latents Which Are Approximately Determined By X
With just the mediation and redundancy conditions, natural latents aren’t quite unique. For any two natural latents over the same variables , we have and . Intuitively, that means the two natural latents “say the same thing about ”; each mediates between and the other. But either one could still contain some “noise” which is independent of , and could contain totally different “noise” than . (Example: X consists of 1000 flips of a biased coin. One natural latent might be the bias, another might be the bias and one roll of a die which has nothing to do with the coin, and a third natural latent might be the bias and the amount of rainfall in Honolulu on April 7 2033.)
In practice, it’s common for the natural latents we use to be approximately a deterministic function of . In that case, the natural latent in question can’t include much “noise” independent of . So intuitively, if two natural latents over are both approximately deterministic functions of , then we’d expect them to be approximately isomorphic.
Let’s prove that.
Other than the tools already used in the post, the main new tool will be diagrams like , i.e. mediates between and itself. (If the same variable appearing twice in a Bayes net is confusing, think of it as two separate variables which are equal with probability 1.) The approximation error for this diagram is the entropy of given :
So if we want to express “ is approximately a deterministic function of ” diagrammatically, we can use the diagram . The approximation error on the diagram is , which makes intuitive sense: low entropy of given means that is approximately determined by .
With that in mind, here’s the full proof of isomorphism, including approximation errors:
The first piece should be familiar: it’s just the fundamental theorem, the main focus of this whole post. As usual, it tells us that either of , mediates between the other and . (Minor note: is intended to denote a subset in some partition of ; it’s a generalization of the notation used in the post, in order to allow for stronger redundancy conditions.)
The next two steps are the new part. They start with two diagrams expressing that and are both approximately deterministic functions of …
… and we conclude that is an approximately deterministic function of
Since and appear symmetrically in the assumptions, the same proof also shows that is an approximately deterministic function of . Thus, approximate isomorphism, specifically in the sense that either of the two natural latents has approximately zero entropy given the other.
- The Plan − 2023 Version by (29 Dec 2023 23:34 UTC; 153 points)
- (∃ Stochastic Natural Latent) Implies (∃ Deterministic Natural Latent) by (22 Aug 2025 21:46 UTC; 127 points)
- A List of 45+ Mech Interp Project Ideas from Apollo Research’s Interpretability Team by (18 Jul 2024 14:15 UTC; 125 points)
- The Plan − 2024 Update by (31 Dec 2024 13:29 UTC; 123 points)
- Towards a Less Bullshit Model of Semantics by (17 Jun 2024 15:51 UTC; 98 points)
- Natural Latents: The Concepts by (20 Mar 2024 18:21 UTC; 96 points)
- $500 Bounty Problem: Are (Approximately) Deterministic Natural Latents All You Need? by (21 Apr 2025 20:19 UTC; 92 points)
- Voting Results for the 2023 Review by (6 Feb 2025 8:00 UTC; 88 points)
- Chance is in the Map, not the Territory by (13 Jan 2025 19:17 UTC; 67 points)
- Natural Latents Are Not Robust To Tiny Mixtures by (7 Jun 2024 18:53 UTC; 65 points)
- Why Care About Natural Latents? by (9 May 2024 23:14 UTC; 56 points)
- Calculating Natural Latents via Resampling by (6 Jun 2024 0:37 UTC; 55 points)
- (Approximately) Deterministic Natural Latents by (19 Jul 2024 23:02 UTC; 45 points)
- A Robust Natural Latent Over A Mixed Distribution Is Natural Over The Distributions Which Were Mixed by (22 Aug 2024 19:19 UTC; 42 points)
- 's comment on The Failed Strategy of Artificial Intelligence Doomers by (1 Feb 2025 10:16 UTC; 40 points)
- 's comment on A Robust Natural Latent Over A Mixed Distribution Is Natural Over The Distributions Which Were Mixed by (22 Aug 2024 23:31 UTC; 37 points)
- 's comment on Counting arguments provide no evidence for AI doom by (28 Feb 2024 2:27 UTC; 30 points)
- 's comment on Lucius Bushnaq’s Shortform by (18 Sep 2024 9:39 UTC; 27 points)
- Report & retrospective on the Dovetail fellowship by (14 Mar 2025 23:20 UTC; 26 points)
- An Ontology of Representations: Limits of Universality by (12 Feb 2026 21:43 UTC; 22 points)
- Towards the Operationalization of Philosophy & Wisdom by (28 Oct 2024 19:45 UTC; 20 points)
- 's comment on Containment Thread on the Motivation and Political Context for My Philosophy of Language Agenda by (15 Feb 2024 0:03 UTC; 11 points)
- 's comment on $500 + $500 Bounty Problem: Does An (Approximately) Deterministic Maximal Redund Always Exist? by (10 May 2025 9:14 UTC; 6 points)
- 's comment on Natural abstractions are observer-dependent: a conversation with John Wentworth by (13 Feb 2024 19:23 UTC; 5 points)
- An Ontology of Representations: Limits of Universality by (EA Forum; 12 Feb 2026 21:53 UTC; 4 points)
- 's comment on Natural Abstractions: Key Claims, Theorems, and Critiques by (16 Mar 2024 16:15 UTC; 2 points)
- Towards the Operationalization of Philosophy & Wisdom by (EA Forum; 28 Oct 2024 19:45 UTC; 1 point)
This post deserves to be remembered as a LessWrong classic.
It directly tries to solve a difficult and important cluster of problems (whether it succeeds is yet to be seen).
It uses a new diagrammatic method of manipulating sets of independence relations.
It’s a technical result! These feel like they’re getting rarer on LessWrong and should be encouraged.
There are several problems that are fundamentally about attaching very different world models together and transferring information from one to the other.
Ontology identification involves taking a goal defined in an old ontology[1] and accurately translating it into a new ontology.
High-level models and low-level models need to interact in a bounded agent. I.e. learning a high-level fact should influence your knowledge about low-level facts and vice versa.
Value identification is the problem of translating values from a human to an AI. This is much like ontology identification, with the added difficulty that we don’t get as much detailed access or control over the human world model.
Interpretability is about finding recognisable concepts and algorithms in trained neural networks.
In general, we can solve these problems using shared variables and shared sub-structures that are present in both models.
We can stitch together very different world models along shared variables. E.g. if you have two models of molecular dynamics, one faster and simpler than the other. You want to simulate in the fast one, then switch to the slow one when particular interactions happen. To transfer the state from one to the other you identify variables present in both models (probably atom locations, velocities, some others), then just copy these values to the other model. Under-specified variables must be inferred from priors.
If you want to transfer a new concept from WM1 to a less knowledgeable WM2, you can do so by identifying the lower-level concepts that both WMs share, then constructing an “explanation” out of those concepts. An “explanation” would look like a WM fragment purely built out of variables and structures already in WM2.
An explanation is also a pointer. If you want to point at a very specific concept in someone else’s WM, one way to do so is to explain that concept (in terms of lower level ideas that you are confident are shared).
Natural latents are a step toward solving all of these problems, via describing a subset of variables/structures that we should expect to find across all WMs (and more importantly, some of the conditions required for them to be present).
A natural latent should be extremely useful for any WM that contains variables which share redundant information. I think we can expect this to be common when highly redundant observations are compressed.
For example: If the ~same observation happens more than once, then any learner that generalizes well is going to notice this. It must somehow store the duplicated information (as well as each of the places where it is duplicated). That shared information is a natural latent. The result in this post suggests that this summary information should be isomorphic between agents, under the right conditions.[2]
As far as I know, it’s an open question which properties of environments&agents imply lots of natural latents.
The current state of this work has some limitations:
Both learners need access to the same or very similar low level observables X.
Both learners must have learned the same beliefs, otherwise their latents may be very different (although this is kinda fixed with an additional constraint on the latent).
John and David seem to have run into difficulties building useful applications of this theory.
John’s posts aren’t clear on how to identify and separate out the X variables from a general stream of data (although this seems fine for now).
With lots of compute, approximate models can be dropped in exchange for detailed models. One might drop the concept of “tree” in exchange for a complete categorization of types of trees.
On the one hand, this is still tracking the same latent information. The theorems still work. But on the other hand, it isn’t necessarily storing it in an easy-to-access way. This is fine for communication, but less fine for interpretability or manual joining of WMs.
Perhaps there is some assumption we can make that guarantees all levels of abstraction will remain stored. Or perhaps we should expect interpretability of a WM to often involve some inferential work on the part of that WM.
If this line of research goes well, I hope that we will have theorems that say something like:
“For some bounded agent design, given observations of some complicated well-understood data-generating structure Z, and enough compute / attentional resources, the agent will learn a model of Z which contains parts x,y,w (each with predicable levels of approximate isomorphism to parts of the real Z). Upon observing more data, we can expect some parts (x,y) of this structure to remain unchanged.”
Think of an ontology the choice of variables in a particular Bayes net, for our current purposes.
I’m leaning on the algorithmic definition of natural latents here.
I sometimes use the notion of natural latents in my own thinking—it’s useful in the same way that the notion of Bayes networks is useful.
A frame I have is that many real world questions consist of hierarchical latents: for example, the vitality of a city is determined by employment, number of companies, migration, free-time activities and so on, and “free-time activities” is a latent (or multiple latents?) on its own.
I sometimes get use of assessing whether a topic at hand is a high-level or low-level latent and orienting accordingly. For example: if the topic at hand is “what will the societal response to AI be like?”, it’s by default not a great conversational move to talk about one’s interactions with ChatGPT the other day—those observations are likely too low-level[1] to be informative about the high-level latent(s) under discussion. Conversely, if the topic at hand is low-level, then analyzing low-level observations is very sensible.
(One could probably have derived the same every-day lessons simply from Bayes nets, without the need for natural latent math, but the latter helped me clarify “hold on, what are the nodes of the Bayes net?”)
But admittedly, while this is a fun perspective to think about, I haven’t got that much value out of it so far. This is why I give this post +4 instead of +9 for the review.
And, separately, too low sample size.