There is little sign that the momentum of the situation is changing. Instead, things continue to slowly get worse, as nations in holes continue to keep digging. The longer we wait, the more expensive the ultimate price will be. We will soon find out what the new administration does, which could go any number of ways.
South Korea since 2006 has spent just over 1% of GDP on baby making incentives.
It is not doing that much. But then what would you expect?
As Emmett Shear says, wake me when it’s a lot higher. Which they are indeed proposing. I do not understand why people like Tim Carney respond the opposite way.
Tim Carney: This ought to puncture the notion that affordability or inequality is the source of America’s Baby Bust.
Dan Peters: Watch, they’ll just say it’s not enough money.
There’s no winning with facts.
Yes. Yes I will. It’s not enough money.
Paid sick leave decreases, rather than increases, fertility. This is despite paid sick leave being obviously very helpful when being pregnant, and also when having a child, which makes you sick more often and gives such flexibility higher value in general. Women today want more children than they have. If paid sick leave is decreasing fertility, something is going very wrong.
Why would this have the opposite effect? Could this be a wealth effect, a classic case of giving people what you think they want, rather than what they actually want or need? The paper’s suggestion that this facilitates use of birth control? How does that even interact with ‘sick leave’ and why is this even an issue? Something else?
My best guess is that this essentially forces the women to take more sick leave, but in a way that they see as hurting their careers, or that increases how much they expect their careers to be hurt, or causes employers to try and stop women from having kids, or some combination thereof. So things end up getting worse. But that still feels like a weird ‘just so’ story.
Hungary has dedicated major resources to this – no taxes for 3+ kids, debt forgiveness, major subsidies for homes. It’s actually equivalent to ~5% of their GDP. The US military is 3.2%, so big spending.
Nothing happened.
Hungarian: This is false! You only get an exemption from a minor tax, not _ALL_ taxes! If families with 3+ kids literally paid zero tax including zero “employer-paid” taxes, it would be a huge deal. But the Hungarian government doesn’t (yet) have the courage for such a drastic move.
The total tax rate (combined mandatory employee+employer contributions) can easily surpass 50% in Hungary. If they’d actually exempt big families from _all_ taxes they’d nearly double the take-home salary for many workers.
M: Is it wrong that I find it funny that one of those tweet is about Hungarian women never paying income tax again, and then when you look at Hungary’s tax schedule they have one of the highest ratios of sales tax:income in Europe (and to some degree the world)?
Huntrax: Hungarian here
This will be a VERY basic introduction, rules are more complex. If you have children (even a single child) in Hungary, you get the following from the government:
1) Direct cash transfer: Around USD 30/child/month, unchanged since 2008.
2) Tax benefit: (Tax benefit was originally introduced instead of increasing direct cash transfer to target “those who are not willing to work” (mainly Romani minority), if mother does not work, can be used by the father. The amount depend on the number of the children, but can be up to 100 USD if you have three or more children per child per month. (Again, amount unchanged since around 2016)
3) Mothers with more than three children is exempt from salary personal income tax. This sounds very generous, but I do not think that this is THAT common, and these mothers are generally on the lower side of the salary range.
4) “major subsidies” for home. This is partially true. This subsidy system (partially) blamed for making houses very expensive, and given the current prices in the capital, a subsidy can buy you around 1 sqm/child. Also, higher subsidies generally kick in for the third child.
4) Debt forgiveness: certain types of debt, generally only after the third child.
If you are a middle class Hungarian family, life is expensive (particularly housing) and these subsidies do not really make any difference
Technically if you add up all family support benefits of all kinds, including pre-existing ones, I do see claims this adds to 5%, versus an OECD average of 2.1%. The majority of that 5% was from pre-existing supports, the change was only 1%-2% of GDP. That’s not nothing, but a long cry from 5%. America is unusually low here, we mostly do our transfers using other methods.
More Births responds that they are very much running ahead of the obvious comparable countries. Depending on when you start, they are doing relatively well, and certainly doing far better than many other places.
The FT has an article portraying the whole thing as a clear failure despite generous subsidies. In their central example a family got 80k Euros, and had as many kids as was medically safe for them to have. Their explanation is that the boost in fertility was merely a shift in getting a generation to have their kids earlier.
I don’t buy this for several reasons, including that if you attempt to have kids earlier you are going to end up with more kids, if only because you might change your mind and might have medical issues if you wait, or you might then have time to decide to have more.
One strong argument here is that the subsidies are structured badly. If you give people tax breaks, then that helps once you are already well off, but the poor who would be most sensitive to subsidies get left out. And if you are then rewarding earning more by being regressive, that cuts against prioritizing having a big family.
I would also point out that everything we know says you want to prioritize getting parents cash money quickly. That impacts behavior far more than long term subsidies. Giving people tax breaks after several children is exactly the kind of move that is not going to get much impact on fertility per dollar spent.
Philip Pilkington: The “family policy doesn’t work” meme is stale and annoying. The impact on the marriage rate is crystal clear. This is the first step.
Lyman Sone: I have to say, I think the evidence “Family policy boosts marriage and reduces divorce” is CRAZY STRONG. It gets less attention, but it’s ludicrously empirically strong, and we have an incredible test case in Hungary where they tried it and got a HUGE effect.
The case for family policy boosting births I think is still strong, but the effect sizes are DEFINITELY smaller, and costs higher, and effects a bit more contested.
But, “People create marital status in response to financial incentives” is 100% true.
What remains to be seen and is empirically unknown is if these incentivized marriages will be as fecund as pre-reform marriages. We won’t know this for quite a few years.
But like if your goal is to increase the % of kids born to married parents, and to reduce parental divorce, reducing the marriage penalty in tax/benefit codes 100% will cause that outcome and it isn’t really a serious scholarly debate if this is true.
As someone who had to decide whether to get married, I can verify this absolutely makes a huge difference. The incentives here can be very, very large. If we had gotten married earlier, it would have plausibly cost six figures in lost financial aid.
Also, it seems quite obvious to me that if you boost the marriage rate, you also boost the birth rate. As in, yes, being counterfactually married should quite obviously lead to decisions to have more children. So should giving married people better financial conditions relative to the unmarried, over and above changing people’s marriage decisions, although the size of that mechanism is reasonably disputed. How could these things fail to be true?
Aside from Poland those are not adjacent countries, and some similar countries did well without similar subsidies (on a world-relative basis) but none of this seems suggestive of subsidies not working.
France offers proposal for free fertility tests at ages 18-25, women’s groups are ‘outraged’ because they focused on physical fertility rather than making kids affordable. How dare they provide information about reproductive health. Yes, affordability is the bigger issue. I still will never understand the attitude of ‘this is a good thing and in no way interferes with other good things but is not the best possible thing, so we are going to be outraged you proposed it.’
Except yes, Macron’s plan also includes financial support for new parents. Alas, no number is mentioned here. I am confident the number is far too low, because Macron would never dare, and also because if the number was high enough I would have heard.
The plan also emphasizes the importance of paternal involvement in a child’s life, including a proposed ‘duty to visit’ for fathers. I worry this would actively discourage fertility far more than it encourages it. I also am not convinced, if a father needs a law to be there, that you want him around.
Surrogacy, it says, is excluded due to ‘ethical concerns.’ Still with this nonsense, although that’s a lot less bad than Italy going nuts and banning surrogacy outright.
A new postputs America’s socially optimal fertility rate at 2.4, and estimates we should place a value of $1.17 million on each additional birth, and to do this should be willing to spend $290k per birth. They suggest greatly increasing the child tax credit.
Remember that my estimates of the effective cost to induce a new birth are consistently in the realm of $300k in marginal spending, roughly a quarter of this social value and equal to the paper’s proposed willingness to pay. There are better ways to do this than writing checks, but writing checks works, and it works better the more you frontload the payments, and the more you pay outright in cash.
Embryo Selection
Emil Kirkegaard: Quite a lot of people approve of embryo selection for all manners of traits. It’s not just some fringe. 37% approve for intelligence. Majorities approve of screening for all kinds of diseases and disorders.
Polygenic Embryo Screening: High Approval Despite Substantial Concerns from the U.S. Public
Some 30% of people are willing to do IVF just to do embryo selection. That’s no small number!
In usual @RichardHanania fashion, conservatives were less approving, despite having more to gain from it (their fertility is much higher). Younger people more in favor, so things probably moving in that direction.
The correct value of effective polygenic screening is highly unlike zero. If you think there is nothing wrong with it, and it works, you substantially improve your offspring’s outcomes on a variety of metrics, as per your definition of improve. Yes, IVF is highly annoying and expensive, but the upside is huge. 30% of people recognize this, and 55% would at least consider it.
General approval is very, very good. 67%-11% say benefits outweigh costs, 77%-12% would have it be legal. Good show, everyone.
The range of approvals for different outcomes mostly matches what you would expect.
Everyone hates physical diseases like cancer and heart disease. Preventing some mental diseases are mostly unobjectionable (and yes the implications of that sentence are as crazy as they sound). If it is a ‘condition,’ people are mostly fine preventing it. Obesity is the most objectionable, but seems like a very clear place to have a preference, given its impact on health and other life outcomes. Whether or not you think obesity is a person’s choice given their genes, you should want to be able to select against it.
Traits, on the other hand, give people the willies. Eliminating bad things is different from looking for good things in people’s minds. A lot of this is framing. Note how much worse ‘BMI’ does than ‘obesity.’ Even more so ‘life satisfaction’ versus ‘depression.’ There’s a strong anti-vanity streak here, given the opposition to making your child not bald. And a highly reasonable big jump at the top on skin color, while noticing that you do also choose the parents.
To some extent I sympathize. You don’t want people to race to give their children genetic positional goods, forcing others to follow or be left behind, with no social gains. But you do want to give them absolute goods that make people healthier, happier, smarter, more productive and so on, including well above the median.
Thus my number one disliked trait selection would be height. Height is mostly a positional good. We should save our selection pressure for positive sum games. Personality traits should be handled with caution. Mostly I would want to invest available trait stats into intelligence and constitution, but if you could also offer me strength, dexterity or wisdom, or the positive sum forms of charisma, I’m definitely listening.
Not being able to afford kids or the house to raise them in.
Also that people have been taught not to have kids until the money is sorted out, whereas in the past people would more often muddle through. Expected time and attention spent on kids also gets mentioned, both kids being treated as needing vastly more supervision and there being less others around to help with that.
Another one mentioned a few times is mental illness. A lot of people are now diagnosed with mental illness, which is some combination of increased diagnosis and viewing things differently, and also higher rates of mental illness. That leaves a lot of people not wanting to pass that on to their kids, or terrified they can’t be good parents.
This suggests that we need to lower costs along many fronts of both money and time, and also we need to stop telling people to wait until they meet very high bars.
Proving that Dakka Works
How much does having children lower lifetime earnings?
Maxwell Tabarrok citesa new Danish study of women who attempted IVF, and concludes it has strong evidence that having children does not reduce long term earnings. There is a correlation, but he concludes it is not causal.
That seems weird. Children are a huge time sink and you are forced to take time off. How could that not matter? Maxwell says women largely time their kids to correspond to counterfactual earnings peaks, which says a lot about how much money is driving lower fertility. And the counterforce to less time is higher motivation and justification.
If you do not have kids, it is very easy to satisfice on money, to choose more rewarding or less stressful jobs or those with less hours, and end up earning less, because you can. Similarly, when you negotiate salaries and such, saying you have to support a family is a strong argument, as I have witnessed many times. So it is not so crazy to me that these effects might roughly cancel out.
I would go a step farther than Maxwell does in the conclusion. If the result is correct, then it shows that financial considerations are greatly warping fertility choices. If that is true, then well-structured payments and other incentives can greatly change those choices.
You cannot have a world where women are carefully timing kids to not interfere with their earning potential, and also have a $70k baby bonus (as proposed in South Korea) not make a huge difference. Even better, you could vary or condition the bonus based on timing.
One can also look to this paper on the willingness to pay for IVF. They see no long-term ‘protective’ effects (of having no child) on earnings.
IVF
How much are peoplewilling to pay for IVF if they are infertile? This varies really quite a lot. The majority of the time the answer is $0, or actually far less than $0. Other times, the answer is almost anything if they think it will work. People very highly value their fertility preferences. I do not think that marginal willingness to pay is a good measure of overall welfare gains in this spot.
A lot of people do end up in the middle as well, if only due to of inability to pay.
From the abstract: Despite the high private non-pecuniary cost of infertility, we estimate a relatively low revealed private willingness to pay for infertility treatment. The rate of IVF initiations drops by half when treatment is not covered by health insurance.
The response to insurance is substantially more pronounced at lower income levels. At the median of the disposable income distribution, our estimates imply a willingness to pay of at most 22% of annual income for initiating an IVF treatment (or about a 30% chance of having a child).
At least 40% of the response to insurance coverage can be explained by a liquidity effect rather than traditional moral hazard, implying that insurance provides an important consumption smoothing benefit in this context. We show that insurance coverage of infertility treatments determines both the total number of additional children and their allocation across the socioeconomic spectrum.
This offers us another insight. If at least 40% of response to insurance on IVF is liquidity effects, then it would stand to reason that 40% of the response to child subsidies would also depend on it addressing liquidity effects.
In other words: If I offer a $10k subsidy payable over time, versus a $6k subsidy payable on birth (and perhaps even partially before?), we should expect those to have similar fertility impacts. You really, really want to do cash on delivery.
IVF also has other disadvantages. It is highly uncertain, and people with moderate willingness to pay are going to be risk averse on that, although this could conflict with the liquidity issue. IVF is physically highly uncomfortable, if it was a trivial procedure willingness to pay would likely go up. There is also certainly some ‘it is unnatural’ tax, and the risk of dealing with multiple babies at once is not fun either. IVF is wonderful, but you’d pay even more to get a natural conception, if IVF is not also being used to do any form of embryo selection.
But what is the lower bound being offered here? 22% of annual income for a 30% chance of having an a child is 73% of annual income per child.
If nothing else, this seems like overwhelmingly strong evidence that IVF should be fully covered by insurance or by the state for all infertile couples, in all areas with below replacement fertility. It is the lowest hanging of fruits.
IVF for embryo selection beyond avoiding particular health concerns alas remains remarkably unpopular. The term ‘ruining it for everyone’ seems relevant, and now we have to deal with the consequences. The good news is that if you stick to health concerns, people are mostly sane about this, with 72% approval (versus 11% disapproval) for screening in general and similar for doing it for health. And 82% said they’d be at least somewhat interested conditional on already using IVF.
Genetics
Lyman Stone argues extensively that we should not expect genetic selection to get us out of our fertility problems any time soon. I think that at the limit ‘life finds a way’ applies no matter what your simulations and correlations tell you, but we should not rely on anything like this as a practical solution.
American women arevery not concerned (14%) about overall fertility. Men are more concerned (30%) but not enough to do anything about it, and younger people (and more liberal people) are even less worried than that. Until that changes dramatically, we will never be able to try solutions capable of working. Samo Burja reports similar attitudes across genders in his anecdata, and points out the preferences cut across many proposed explanatory factors.
The culture is all too eager to tell us that children, or even marriage, will make us miserable, when it is not true even if you discount the long term. The latest example was this, where there was a widely distributed claim in a new book that said married women are miserable, because they report being unhappy when their spouse isn’t around… but that actually meant ‘spouse absent’ meaning no longer living with them, not ‘stepped out of the room.’ So married people are indeed happier, so long as they actually live together, which is highly recommended standard practice. Whoops.
When the parents are together, they are staying together more often, as well.
We’re not that close to 1960-level numbers, but that’s a dramatic fall in the divorce rate. The decline in unwed births is smaller, but noticeable and looks steady.
Robin Hanson notes that many recent cultural trends among wealthy nations have primarily only happened in Western countries, moving away from mostly static Asia and Africa. Elsewhere, wealth did not predict the changes, but still did predict fertility drops. This matches previous observations that East Asia now has the worst of both worlds, where women and families have to deal with modern challenges, expectations and demands and also older ones, but women can also opt out entirely. So they do.
After Dobbs, vasectomies and tubal ligation procedures are up. Tubal ligations are up over 400 per 100k individuals with healthcare appointments on a monthly basis. That sounds like a lot, and is more than double from 2019. Vasectomies are over 100 per 100k appointments.
How would you design a city so that more people would fall in love? In all seriousness, I would start with YIMBY. Build, baby, build, so housing costs are affordable. That gives people the opportunity. Next up better mass transit and fully walkable, not being able to see someone logistically is a huge barrier and everything gets more pleasant. Then yes, absolutely, you create a bunch of parks and benches and monuments and museums and so on, and go from there.
More Births: We rarely see fertility studies focusing on men. A new Finnish study finds that a man’s major or field of study has a big impact on how many children he will have! The researchers explain that in fields with higher economic uncertainty, men tend to have fewer children.
These are large effects.
I would double down on Robin Hanson’s warning to beware the philosophy degree.
Rather far gone, given that this is how Politico’s Gaby Del Valle framed a conference about the idea that maybe children are good, actually:
Gaby Del Valle (Politico):
“The Big Idea: The Far Right’s Campaign to Explode the Population”
Tagline: Behind the scenes at the first Natal Conference, where a motley alliance is throwing out the idea of winning converts to their cause and trying to make their own instead.
…
This conference suggests there’s a simple way around the problem of majority rule: breeding a new majority — one that looks and sounds just like them.
Gaby, it seems, cannot imagine any reason one might think that children are good or that the country would be better off with more of them. They couldn’t mean what they say about demographic collapse and our dependence on growth. They couldn’t be genuine in their values. It must be a political takeover, or racism.
Ross Douthat: Nothing wrong with a journo noting that ppl interested in a pro-natalism conference tend to be eccentric or extreme. But the contextual Q should be, “isn’t it … odd that only oddballs seem interested in the looming depopulation of the developed world?”
They are not the only ones. They are the only ones at the conference that markets to exactly that kind of people. I am not going to that sort of conference. But yes, the fact that this is the way they had to fill out the conference is a sign of the times.
In general, if some choice is happening 1% of the time, and you want that to be even lower, what do you do? It stands to reason that drawing lots of attention to it, giving people ‘the facts’ and making people really think hard about it might not be your best plan. This is especially true if there is lots of existing misconception and hyperbole working in your favor. Many programs to get kids to not do things actively backfire.
A funny suggestion at the link was making people do this once a year. Presumably that would have very different impacts, in addition to being deeply silly. But yes, my presumption is that any form of drawing attention and thought to the question would increase fertility.
Richard Chappell: The most interesting thing in that Guardian article was the potential tension between these two highlighted sentences. An important part of making parenting easier could be to reduce the social pressure to be “model parents”. (It seems like there are real tradeoffs here.)
Should we worry more about “bad” parenting, or about discouraging ppl from becoming parents at all? My sense is more the latter. Which might suggest the need for more positive (less judgemental) attitudes towards even very imperfect parents.
Exactly. The whole point is to make it easier to have kids. By responding with ‘are they really model parents?’ you are exactly proving why this is so important. If we only let ‘model parents’ have kids there won’t be many kids. If parents think they have to act as model parents all the time, they will be miserable and often opt out or quit early. You do need to pass a minimum bar, but past that the important thing is to show up, stick around and have the kids at all.
Rob Henderson: A generation ago, a poor woman would have children with a man in the hope that this would lead to marriage and family. This seldom happened. Those children witnessed this failure, absorbed its lessons, grew up, and now are simply not having kids.
Throughout my childhood, I lived in homes with 2 different girls who became mothers at age 16, then both had another kid at 18, and another in their 20s (all different fathers). Interestingly, they had daughters only. Those girls are now in their mid-twenties; none have children.
“The Trustees continue to assume that recent low rates of period fertility are, in part, indicative of a gradual shift to older ages of childbearing for younger birth cohorts.”
Marko Jukic: When we say “our core societal institutions are fragile and dysfunctional because they no longer suit the circumstances to which they were designed but cannot change,” this is what we mean.
Yeah, no. This is a completely insane baseline estimate. I do not especially worry about the solvency of the trust fund under baseline assumptions because I also see the assumptions about AI and various other things. The worry is if this could be people’s excuse for not panicking. That would be a problem.
Urbanization
Razib Khan tells the story of declining fertility as the story of urbanization. No question this is a key part of the story. Fertility and urbanization have a national correlation of −0.48. Within nations, cities have always, going back to ancient times, been much lower fertility than rural areas, with cities usually below replacement. A lot of that was always due to poor health and plague, an effect that used to be far larger than today, but that is only one reason of many. And urbanization is way up.
The Marriage Penalty
Your periodic reminder that we tax marriage, which also means we tax fertility. We do it less than we used to, but we still very much do it.
When you tax something, you get less of it.
Niskanen Center: The U.S. tax code disproportionately discourages marriage among middle-and low-income families. We need to fix this.
They offer a variety of proposals. At core this is a basic set of arithmetic problems. It is not difficult to adjust the numbers such that it is almost always beneficial or at least neutral to be married, especially when there are children involved.
Indeed, if we cannot do better, there is a very obvious solution. Raise base rates as needed to compensate, and then allow married couples to file as if they were unmarried, if they calculate that this is cleaper. End of penalty.
The Biological Clock
I do not know how much of the fertility drop is ‘women and also men do not appreciate that there is a biological clock and they only have so long to have kids.’
I do know the answer is ‘quite a lot.’ So you get things like this:
Kira: I spoke to a 35yo, unmarried female relative recently. She is seeing someone & they’re considering marriage but says she is “taking it slow.” I asked her if she wanted to have children. She said yes. Four.
I told her she’s too old for “taking it slow” if she wants four children and at this age she’ll be lucky to have a couple after an engagement, wedding and honeymoon period has passed. Not to mention the time it actually takes to grow and birth a baby.
She was stunned. She gasped a bit and said “wow. You don’t mince words, huh?” I told her “of course not. People aren’t being honest with young women about their bodies and timelines. Has anyone ever told you that your prime child bearing years are over? Has anyone ever talked to you about how aging changes your fertility?”
She said no. No one. Not one person. And as stupid as it sounds, she hadn’t thought about it until I mentioned it. She didn’t realize she didn’t have all the time in the world. I don’t know if it changed anything for her but I do think it’s a travesty that something so basic had never been presented to her before.
We need to start being blunt with young women. They can make their own choices on their timelines but it should be done with the most information possible.
Carol Williams: My son and daughter-in-law didn’t want children, then changed their minds. Too late, though. After several attempts, IVF and miscarriage, they’ve given up. My daughter-in-law is 42. They would adopt but don’t have the money. Sad for them.
Coleman Hughes: Columbia and Barnard students are not stupid in the low IQ sense. They had good test scores and good grades in high school.
But in my experience, many of them were deeply lacking in the common sense department––which is a separate thing altogether.
To give an example, I remember a friend once told me that she had learned in class that the concept of a woman’s “biological clock” was a myth, and that women really don’t need to worry about declining fertility as they age into their 40s and 50s. She accepted this as true.
I remember health class. This is likely the most important one thing to include. Everyone needs to know what the timeline looks like.
If they choose to ignore it, that needs to be an informed choice.
Vivienne: FYI we are basically at the point where we can make gametes out of skin cells. I expect this to be available for humans in 10 years. I wouldn’t worry about it too much. I’ve also considered freezing my eggs lately, but I’m ambivalent enough that I feel fine relying on the possibility of future tech, and I wouldn’t want a baby for another decade at least. And my heart is mostly set on cloning. Hope this article gives you comfort.
I should’ve spoken more strongly. We literally are at that point. It has been done. It is being done. “Last year, Japanese researchers created eggs from the skin cells of male mice, leading to the birth of mouse pups with two fathers.”
Yes it’s amazing that people haven’t really been talking about this. It should be front page news all over the world. The thing people have been fantasizing about for decades. Everyone seems to be counting down to it, and it’s already happened lol.
It does seem at least somewhat reasonable to say ‘either the technology to do this will exist 10 years from now when I need it, or we probably have much bigger problems.’ It still seems like a relatively cheap action to prepare in case that’s not true.
Big Families
What motivates educated women who have five or more kids? Catherine Ruth Pakaluk writes a book in which she asks fifty of them, Hanna’s Children. Mostly they were motivated by the belief that children are the best and most valuable thing. They knew that having lots of kids was difficult and expensive and terrifying and required sacrifice, and they did it anyway and made it work. The group was also largely religious.
The reviewer here noted that the marginal cost of additional children seems to decline. That has been my experience as well. There are dire warnings that two is more than twice as hard as one, or three will be so much harder than two. It definitely brings additional challenges, but my experience is that this is not so, there are decreasing marginal costs all around. They complement each other, and I think are clearly better off for having each other, and many of the costs in both money and time are fixed or scale highly sub-linearly.
Au Pairs
Au Pair programs are the definition of win-win.
A student gets a place to stay and a chance to study in America, and some walking around money. A family gets badly needed childcare. It is completely voluntary. The economic benefits are obvious. Everyone wins. The possibility of an Au Pair substantially enhances options, and thus fertility.
So, of course:
Kelsey Bolar: President Biden has threatened to take away our main source of child care by proposing a regulation that could double the cost of hosting an au pair.
If Biden wants to help families like ours balance our home and professional lives, he should expand the program to include senior care—not threaten to destroy it. @mrsshap & I in today’s @WSJopinion.
Caroline Downey: As a triplet, I know the 8 au pairs we had from age 0-4 helped my parents tremendously. I remember them so fondly (sometimes we, now 26 years old, still get Polish chocolate packages). This regulation is anti-family.
Raising required compensation would dramatically nosedive participation. These people really do not get how supply or demand curves work. Fertility would suffer.
The comments have several people talking about ‘slave labor.’ No one knows what words mean anymore. That includes both ‘slave’ and also ‘labor.’
Abstract: Children require care. The market for childcare has received much attention in recent years as many countries consider subsidizing or supplying childcare as a response to dropping birth rates.
However, the relationship between childcare markets and the fertility gap – the difference between desired and achieved fertility – is yet to be explored. We build upon previous work by investigating the regulation of childcare and fertility gaps across the U.S. states.
Our results consistently show fewer childcare regulations are associated with smaller fertility gaps. This suggests that women are better able to achieve their fertility goals in policy environments that allow for more flexibility in childcare options and lower costs.
Your childcare regulations must be really harmful if parents respond by having noticeably fewer children. That is as clear a message as you can get. Listen.
The potential changes are big. They estimate that if you shifted from the highest level of regulation (Connecticut) to the lowest (Louisiana), the total fertility rate (TFR) would rise from 1.51 to 1.7, or 13% (!). If every state moved to Louisiana’s level, we would see roughly 38% of that improvement, or a 5% rise in fertility.
I talked Claude through the calculations and I am choosing to skip several adjustments so someone should do it more formally, but when I estimate the actual all-in cost this imposes on parents, I get that each 1 point increase on the 0-10 point scale increases costs by between $6k (low estimate) and $13k (high estimate). At 2.74 points of average improvement per state, using a middle estimate of $9k per point, we get about $24,600 per child that needs such care, for a 5% fertility increase.
Yes, I am fully ignoring the positive benefits to children and parents, because I do not think that has substantial impact on either quality or fertility decisions.
Thus, we can approximate that paying parents $24,600 per child over five years would increase fertility by 5%.
Writing this check would be an expensive way to raise fertility, costing almost $500,000 per additional birth. Note that many existing programs try to write such checks anyway, or do it selectively, to offset their harms.
Also note that we above found that baby bonus payments get at least 40% of their effectiveness from boosting liquidity. By spreading payments out over five years, we lose that benefit. So if we instead were to write the $24,600 check, we should expect to get an 8.3% increase in fertility, and decrease the cost per birth to about $300,000.
Remember the calculation on car seats as contraception? There parents faced an up-front cost, and I calculated that this implied the marginal cost per additional birth from a flat child subsidy program would be about $270,000 (or ~$286k in 2024 dollars).
Two years later, we have an estimate from a different program, and we got $300k.
Those are stunningly similar numbers.
We can now be reasonably confident that this is roughly what such programs would cost if implemented at modest size.
For transfers at birth to new mothers in America, for every $300k we spend, we should expect to get roughly one additional birth.
We can also gain this result from anything that reduces effective costs to parents. Car seat requirements and child care regulations are two good places to start. There are many others.
This would likely to be much tougher in places without a sufficient fertility gap. America has the large advantage that women actively want more kids. All we have to do is enable that.
Another fun note from the same paper is that Lyman Stone notes basically no person-level control variables matter for the fertility gap between desired kids and realized kids.
The amount of variance here is bizarre. Shouldn’t these curves be smooth via the law of large numbers? What is moving them around so much? I am actually asking.
Even Tokyo, Japan, where housing is cheap and plentiful now and the government begs people to have more children cannot muster a TFR above 1.0. Why? Urban high rises are family unfriendly in the extreme. I witnessed this during a trip to Tokyo in Sept.
I do not think this need to be true, also a lot of this is correlational or selection effects.
Mostly I think this is a confusion between size of the building and cost of the space.
South Korea’s high rises do not allocate the space you need for a family, especially when you lack easy access to outside space, and kids are not allowed to roam freely.
Meanwhile, the drops in fertility reflect places where zoning changes, not places where the physical buildings change in their impact.
You don’t see a change from 2-plexes to 4-plexes, because those are still in the same types of areas. Then the 5-19 group is again similar, representing the ability to build modest apartment buildings. And then a jump at 20+ or so, which start to only make sense where space is at a premium.
When you build a large apartment building, you lower the cost of housing everywhere, which is good for fertility in any given location. But the particular location is likely to be expensive, and thus locally have lower fertility, again partly via selection.
The only way out is through. If South Korea had twice as many high rises, allowing all units to be larger at lower prices, then the fertility penalty would stop.
New Yorkers leave to raise families partly to get green space and the illusion of safety (and some real safety, although that is mainly from people thinking you are acting unsafely and calling authorities).
But mostly they leave because the rent is high, and taxes are high, and the private schools are expensive.
If you doubled the amount of residential housing in New York City, what happens? That depends on how much prices drop versus the population increasing. You are going to get a J-shaped fertility impact curve overall, and it is unclear where we currently are on that curve.
My presumption is that at equilibrium, if we doubled NYC’s residential space, we would grow the population from something like 8 million to 14 million, with a substantial drop in rents and increase in average apartment size, and local fertility would rise substantially, as would fertility elsewhere.
Whether that dominated the compositional shift is unclear, if you did not use the gigantic wealth effect wisely. If you used the wealth effect in substantial part as a child subsidy? Now it is not even close.
I think a similar thing is happening in this study thatpopulation density predicts lower fertility. Yes, it predicts lower fertility, but that is largely due to predicting higher space costs. And also historically cities being unhealthier much more than they are now, and children being more valuable in the countryside, where again we want to drive that to zero.
The housing data that’s readily coded kinda sucks. It’s basically:
Metro vs. Nonmetro
Homeowner vs. Not
Live with parents, live on own, or GQ
But we CAN untangle some major endogeneity, because NLSY gives us: 1) Fertility preferences surveyed before exit from parental household or adulthood 2) Sibling numbers 3) Childhood religious environment All potentially huge confounds driving endogenous selection.
so if we start with JUST housing-related variables this is what we get.
turns out more years in metro areas maybe BOOSTS fertility and more years as a homeowner REDUCES fertility.
this is bizarre to me.
but LOOK AT THE EFFECT OF LIVING WITH PARENTS (note this graph is for MEN not women but they look similar)
That’s an 0.04 hit to fertility per year of living with parents per year. Whereas time in a metro area is positive.
Lyman Stone: I HAVE TOLD YOU PEOPLE REPEATEDLY THIS IS THE PROBLEM AND IT REMAINS TODAY IN FACT THE PROBLEM
The young people must have their own houses.
Here’s what you get correcting for some stuff:
Controlling for marital status feels like it should reduce the impact of living with parents. Yet we see almost no change.
Either way, we should worry about reverse causation and correlation. Yes, there are socioeconomic and marital status controls here, but presumably people who live with their parents are often doing so exactly because they are not ready to raise a family.
Lyman Stone: okay but these are kinda dumb controls. to be really savvy we don’t just want a control variable, we want an interaction: say, does the effect of homeownership vary based on preferences? Yes, it does! This is for women, with all other controls entered.
For women who desire 0 or 1 child (so women with quite low preferences), one extra year of homeownership is associated with a considerable decline in fertility.
But as desires rise, so does effect.
So this kinda looks like homeownership is associated with a modest improvement in correspondence between desires and outcomes at least for people at the extremes.
I can tell you the same effect appears if I use metro status. More years spent in metro areas = LOWER fertility for women with 0-1 desires, HIGHER fertility for women with 3+ desires.
…
On the whole, these results are a LOT more favorable to density than I expected them to be (cc @MoreBirths ). That said, the measures here are really oblique. “Do you own a home,” “Are you in a metro area,” “Do you live with your parents.” None of these are “high density.”
This might be a story about resources, optionality and preference fulfilment then? And yes, the more children you want the more children you get in general, but only to a limited extent. I am guessing that preferences shift a lot, if the correlation is this low.
So the idea is that if you are doing well, able to live in a metro area or own house, then you are in much better position to bargain for and get what you want. You can stay on your own or choose a partner that matches your preferences. If you are not doing well, you might compromise on children in either direction.
Lyman Stone suggests the issue is not urbanization, it is small houses that do not lend themselves to starting families.
Lyman Stone: When you absolutely want to usher in the end of humanity: “low fertility means there are tons of empty bedrooms; a good solution would be to just build a lot of tinier houses with no extra bedrooms, or subdivide current houses to be single units.”
On this hill I will die:
Dense urban environments are not an intrinsic threat to family formation
Small houses are an incontrovertible threat to family formation
A threat that keeps threatening for decades after construction
If you want to boost family formation through zoning abolish parking requirements, allow ADUs as of right, raise height limits.
We chop the fingers off of developers who build any unit under 2 bedrooms.
People being like, “we need a bunch of small apartments so young people can get out of their parents’ houses!”
No.
We need to build so many 2 bedroom units that 2-bedroom units become cheap enough for 20-somethings to buy.
If your view of what is possible with supply expansion is limited to making rental studios affordable for basement-dwellers then you are simply not grasping how far below where we COULD BE we actually are.
We should be flooding the market with efficiently sized and affordably priced units that can house young people through multiple life stages. push the price of a 2-bedroom starter home down, down, down, down.
So yes, it would be great if every 24 year old could get their own two bedroom starter house or apartment in the places they want to live, even New York City or San Francisco. It would also be the first time in history.
I do know that supply reduces price. However.
You know what it would take to make housing that cheap?
The cube.
Otherwise, all you are doing is forcing those 24 year olds to get roommates because they are forced to buy 2-4 times ‘as much house’ as they actually need.
Roommates are presumably actively bad for family formation versus living alone. Whereas if you rent one bedroom apartments (or studios, or dorm rooms) to single people, they gain disposable income and opportunity, and can then move later when they are ready. Why in the world would you want to tie a 24-year-old down to a 2-bedroom apartment or starter house and mortgage they don’t need, making it hard to move?
Yes, you want to build so much housing that the prices crash, build baby build as much as possible, but it can only take you so far.
Alexa Curtis: I just met a 72 year old woman who’s been telling me about her life.
Best quote she said:
You can either have a house and kids or you can fly first class.
I want to fly first class.
I found her inspiring.
I never fly first class (except once I got a random free upgrade). I don’t get it. Even without the kids, why wouldn’t you instead want a ‘first class’ house? But the broader point matters far more.
Lyman Stone: OWD heads this section by saying, “Fertility first falls with development — and then rises with development.” Building on this, UVA student Maxwell Tabarrok argues that “Maximum Progress” can prevent permanently declining fertility. If society advances enough, fertility will rise again. I mention Maxwell because I did a twitter thread recently rebutting his piece. I did so because I was asked to do so by others; but ultimately, Maxwell did an impressively good job of putting together the “U-shape argument” in one specific place. Since writing the thread I’ve had requests to formalize the argument a bit more. That’s what this is.
Lyman Stone: My basic thesis is this: The view that mere growth will boost fertility again is wrong. It is based on seriously outdated underlying research, doesn’t fit the actual empirical facts of the case well, and it leads to theoretical confusion which inhibits clear understanding of how fertility actually works.
Her first argument is that the traditional U-curve findings, that when income rises very high fertility increases again above replacement, are based on tiny portions of larger surveys, and are statistically unreliable. Even worse, they have timing issues, as income varies with age.
Lyman Stone: So do we have any evidence on lifetime disposable income? Yes we do, from Sweden.
Meanwhile, women’s incomes are pretty much totally unrelated to fertility. Whoopsie! And women’s earnings are negatively related to fertility.
Lyman Stone: So, every kind of income is pronatal except for women’s wages. Women’s interest income, business income, rental income, welfare income, support from husband or family… all probably pronatal. Earnings, no.
…
On the other hand, you might look at the nearly-universal rule of species that status predicts reproductive success, you might look at the stable male earnings-fertility gradient, and suppose that high income will usually predict high fertility. This is my view. High income will usually predict high fertility. Exception cases will usually involve unobserved underlying cultural stratification, or mismeasurement, or be very transitory.
…
The relationship between income and fertility is culturally determined.
Income has a relationship with fertility. But it’s not Income →Fertility, either up or down. It’s (Income X Culture) →Fertility.
Perhaps one could say that income relative to expectations and social position predicts individual fertility? That seems like the actual mechanism. As you get higher income (perhaps excluding female labor income, because of the substitution problem) relative to the perceived financial cost of children, you get more children. The problem is that if rising income also raises perceived costs more, you go backwards.
Her core argument is that what we actually have is Simpson’s Paradox. That what’s going on is that compositional changes in income cohorts are creating a U-curve that isn’t a good way of understanding the situation:
Or this example of looking at Amish and Ultra-Orthodox Jews:
This points to the hypothesis that causality is in both directions. Children impact income, so you may not be measuring what you think. Although that suggests that very high income groups are even higher fertility than they look.
And yes, these graphs are quite interesting. The first is slanted by household structure (e.g. ‘do you live with your parents’?)
This is married women not living with their parents:
So what matters is not being 70%+ of the income share. These numbers only look at years when the woman is married, which is why TFR is in the 4 range this whole time, although I’m still confused why it pushed it up that high. Perhaps we really should be focusing on getting more marriages to form and last.
Next up she shows schooling is a linear predictor of low fertility at all income levels, listing four reasons:
School culture is non-familistic.
School puts people in a childish position.
School changes economic opportunity, offering anti-family trade-offs.
Schools change the underlying culture.
I would add that school delays economic actility, and one’s ability to get into a life position where one can get ready to have a family, and we now strongly discourage family formation during one’s education.
Lyman Stone: While income proxies for those, many places have seen dramatic shifts in those variables without dramatic shifts in income, and many places have seen dramatic shifts in income without dramatic shifts in health, school, and media. Our prior should probably be that “mere income” has no societal effect on fertility.
The core argument Maxwell Tabarrok is making is that labor supply is now declining as a function of labor productivity. People value their leisure time and non-work activities, so they are satisficing on work and income. Which means that as wealth and productivity increase further, hours worked will decline and the opportunity cost of children will go down, and fertility will go up.
I do not think that is a good way to think about this, and the graphs he provides are unconvincing. Instead, I would go back to my notion above of anticipated cost (including opportunity cost) of children versus available surplus under culturally expected and legally required patterns of consumption.
So I would instead say: Beware the Iron Law of Wages.
Kitten: If you think people aren’t having kids because of money, you need to examine and think about this graph more.
Yes it’s J-shaped, but “you need to be making $500k to afford as many kids as somebody making $40k” is a crazy thing to believe.
Our disease is spiritual, not material.
Lyman Stone offers this version via Maxwell Tabarrok, which highlights where the people are, and more importantly where they are not, which is at the upper right.
One can also steal from Robert Anton Wilson, and refer to the problem as The Revolution of Rising Expectations.
The logic is obvious in an otherwise static Malthusian context. Solve for the equilibrium, and there is only one answer. The population increases until the point where the marginal product is equal to that required for replacement rate fertility.
What happens when instead productivity is rapidly increasing, and we are growing wealthier?
Wages must rise, so they do not tend towards the minimum necessary to sustain life.
Instead, the minimum necessary to sustain life tends towards wages.
This happens through a combination of regulatory fiat requiring the purchase of more and higher quality goods, through various forms of artificial and real scarcity, increasingly expensive status competitions, and shifts in cultural expectation so that we consider more and higher quality goods necessary to sustain life.
Then consider what happens when culture, together with birth control, shifts to make it considered ‘sustaining life’ to sustain yourself without raising a family let alone a large one, and the requirement adjustments render children unable to work and expensive to raise.
For a time you get radically, horribly out of equilibrium. Expectations for living standards zoom past the Iron Law. People trying to meet those expectations are suddenly unable or barely able to raise families while staying consistent with cultural expectations and legal requirements, and many choose to opt out, can’t make it work or settle for only one child. Fertility falls well below replacement.
Then this risks becoming self-sustaining as it further shifts culture, and those trying to raise families must compete with those who give up on that. If adjustments are not made, the people die out, and their civilization falls.
Let’s not mince words. If 80% of your young people think of your country as ‘hell’ and 75% want to leave, then it matters little that South Korea is some economic miracle. The economic miracle exists so that the people may benefit. The people are not benefiting, to the point of choosing to cease to exist. Why is no one noticing this? Well, no one except everyone who makes South Korean media, which is both quite good and also constantly shouting this from the rooftops if you’re listening.
Snowden Todd: But where South Korea measurably exceeds Japan—and indeed, the rest of the developed world—is in its inflexible working conditions for women, extreme geographic concentration around its capital, and overinvestment in education.
That’s the up front pitch. Instead Snowden paints a portrait of a country on a decades long quest to pursue GDP-style prosperity at any cost, with government and a handful of big corporations colluding throughout, wages suppressed and overtime the default.
And while chaebols are known for martial work cultures, they remain better than the alternative. As one job-seeker put it, “you will work overtime in every company anyway, so it’s better to stick with ones that actually pay you for overtime.”
Those big companies, the chaebols, are big and productive, but only combine for 14% of jobs at places with 250+ employees, versus 58% in America. Whereas the rest of the economy is not so productive.
Asked about the nation’s fertility woes, President Yoon recently declared that South Korean culture is too competitive. In one sense, he is right—young people find themselves in a high-stakes game for vanishingly few jobs at the nation’s best firms.
But in another sense, he misses the mark: South Korea’s young people are suffering in large part from a lack of competition among firms. Extensive corporate welfare has produced a system in which businesses are paid to occupy different niches rather than evolving according to market incentives.
The obvious first question is why aren’t you setting up shop in South Korea?
It seems like an amazing place to run a business. Everyone is highly educated. Everyone is disciplined and happy to work tons of overtime. You are competing for workers against horribly inefficient small businesses paying horrible wages.
If you are working for one of these small businesses, should you not found a new company instead? It doesn’t have to be a startup rocket ship.
The second question is why would you stay? What good is having a wealthy country if this is how you must live in it?
On the direct fertility question, yeah, the problem does seem overdetermined. You work long hours for low pay with little prospects, and if you have a child they get this elite education to suffer the same fate. Does not seem tempting.
Georgia (the Country)
Married births in Georgia spiked much higher in the late 2000s and mostly stayed high. What happened?
Johann Kurtz (after dismissing some other factors): The evidence points to an unusual factor: a prominent Patriarch of the popular Georgian Orthodox Church, Ilia II, announced that he would personally baptize and become godfather to all third children onwards.
Births of third children boomed (so much so, in fact, that it eclipsed continuing declines in first and second children).
This has widely been understood as a religious phenomenon, but I propose that it is better understood as a status phenomenon.
They had a great symbolic weapon to deploy. What else could serve this roll? Obviously ‘money’ but status can plausibly be a lot cheaper.
He then contrasts this with South Korea, where he says your status demands on where you work, which is based on intense early life zero sum competitions between students, hence all the super expensive private tutoring.
The obvious response to the situation in South Korea would be to opt out of it. Accept that your children might be low status in the eyes of others, but if you can pass on the willingness to accept this and keep going, you inherit the country. What use is high status with one or no grandchildren? Alas, this is not a popular way of thinking.
Here Johann Kurtz extends the argument that status is the thing that counts, and that the newly low status of stay at home moms is the thing we have to fight. This seems super doable if we decide that we care. The issue is that so far we don’t care enough.
Japan
The Spectator Index: Japan’s government says there are now 9 million vacant homes in the country, as it struggles with a declining and ageing population.
Angelica: I’m in Tokyo speaking to a new friend who lived in Montreal for the past 20 years but is just returning to Japan now for a dream job. I asked her what the demographic collapse feels like from Japan:
“In Tokyo, you hardly feel it at all. Everything is more or less the same. But in the countryside like in Kyushu where my parents live, it’s like everything good you’ve ever valued is being destroyed. Every famous store or ramen shop, gone forever. The countryside now feels alienating.”
Chris Bartlett: Yeah much of the countryside in Japan looks like ghost towns, often no one under 70, no kids or families, it’s incredibly sad. Cities meanwhile look at first glance fairly normal as that’s where younger people congregate, have kids. That said even cities are lacking kids really.
China
Charlie Robertson: People worry a little too much about China’s demographics in the 2020s. They still have about 2.2 working age adults per pensioner or child until 2030 – that’s as good as Japan ever achieved (in 1970, and again in 1995-2000).
They won’t look like Japan today until 2050.
That does not sound all that comforting if you don’t think AI changes everything. Yes, you have 25 years before you get to what is happening to Japan, but that is not so long, and from there things look to accelerate further.
Essentially China was fine until about 2017, then things declined rapidly and even more so with Covid. They are five years or so into the new very low fertility period. In terms of overall population numbers that will take a while to have its full impact, but it will compound rapidly.
As usual, notice the ‘and then a miracle occurs’ on the later part of the chart. Why should we expect things to stabilize after 2055? It is not impossible, but that seems like denial if you think it is the baseline scenario.
The weird part of such projections is that even those who face the music in the near term somehow think the music will stop.
Science is Strategic: China’s demographic decline is unprecedented
Danielle Fong: this is going to feel really bad on the way down, but versions of this demographic story are playing out everywhere. I think we actually need a significant retooling of civilization to value and support young families.
All the efforts at population control, but nobody really was counting on the hysteresis after we want to turn it off.
By these projections, things kind of mostly stabilize. Why should we expect this?
Daniel Eth: This sort of extrapolation out to 2100 is ridiculous. Total “end of history” way of looking at things, as if tech changes (and cultural changes, for that matter) won’t completely change what happens in the interim.
Yes, no matter what happens with AI we know for sure that 2100 will look a lot different from 2024. It still seems sensible to project the baseline scenario properly, that is what properly motivates us to pursue the right changes, and we have no reason to presume that tech or cultural changes will tend to work in our favor here. So far cultural changes lowering birth rates have snowballed rather than balanced out.
More Births says this region has a high percentage of people living in apartment towers near the coast, and lots of young people living with their parents, and declining religiosity, and high youth unemployment (although lower than Southern Spain). Essentially the model is simple: Young people are failing to launch and get jobs and houses, so they are less likely to have kids.
Robin Hanson: When first-world young people live in apartment towers near picturesque nice-climate coasts, often with parents, with weak young male income and employment, they have few kids.
Here is an interesting potential alternative explanation, although it still does not bode well for the region.
Fahrenheit Maximalist (to More Births): Nice write up, I’d like to add another factor, young people have little economic prospect and are moving away to other regions of Europe, so the actual TFR of Galician people, while not at replacement rate, is much higher than 1.0.
But such data is hard to get, as the destination country don’t necessarily break down fertility numbers by intrapass-European origin, the depopulation of provincial countries in Europe is a tragedy created by a combination of Erasmus exchange student program and the freedom of movement of Schengen treaty, and I don’t see this often discussed in the context of Southern European fertility rates, you can blame Catholicism and lack of housing all you want but the reality is young people are just seduced to moving elsewhere.
It seems like everywhere we can point to several of the usual low fertility suspects.
Dylan Patel: TSMC employees are 0.3% of Taiwan’s population but 1.8% of annual fertility,
Taiwan’s Total Fertility Rate is 1.24
TSMC employees are above replacement rate though
To solve the fertility crisis all we have to do is make everyone work for TSMC.
Gwern: “employees at its plants in Taiwan gave birth to 2,463 children in 2023, representing about 1.8 percent of the country’s total births of 135,571 that year.” So, not adjusted in any way for things like age, health/employment, hiring, firing sick or fat employees…
Focus Taiwan: Under the child care program, eligible employees are granted up to 12 weeks of paid maternity leave for a first child, 16 weeks for a second child and 20 weeks for a third child or more, TSMC said.
The company also provides 10 days of paid paternity leave so employees can spend time with their spouse for prenatal check-ups and newborn care, TSMC added.
In addition, the company’s Employee Welfare Committee provides NT$10,000 (US$312.5) in childbirth subsidies and up to NT$10,000 in public group insurance for each birth, TSMC said.
The company has built four preschools on its campuses in Taiwan’s three science parks in Hsinchu, Taichung and Tainan to provide a secure and enriching educational environment for employees’ children aged two to six, while the childcare services are also available from 7 a.m. to 8 p.m. to accommodate employee work schedules, according to TSMC.
Those policies seem fine, but not exceptional, and as others noted company benefits don’t seem to move fertility decisions much. Total compensation matters far more.
Claude estimated that if we account for demographics we should expect something like 0.45% of births to be to TSMC employees. My guess looking at the calculation is this is a modest underestimate, but only a modest one.
The United Kingdom
The fertility rate has dropped to 1.44. There are a lot of responses pointing to various causes that seem especially bad in the UK, especially their housing crisis, but this isn’t out of line with other similar countries.
Ancient Greece
The problem of low fertility is not new. Here is Polybius talking about it in Ancient Greece, blaming it for their fall. His culprit? Men becoming ‘perverted to a passion for show and money and the pleasures of idle life, and accordingly either not marrying at all, or, if they did marry, refusing to rear the children that were born, or at most one or two out of a great number, for the sake of leaving them well off or bringing them up in extravagant luxury.’
Sounds familiar.
Israel
Why is the Israeli birth rate so high, even outside religious communities? The hypothesis offered here is that those religious communities are integrated with more secular ones and seen as worthy of aspiration in at least some senses, so the memes and practices of very high fertility orthodox Jews filter down somewhat to other groups as well. And this is enough to keep the fertility rate at stable levels even among the secular, and has a much bigger effect among those in between.
It is a plausible theory. It suggests that the ‘right kind’ of cultural mingling, that allows us to assimilate ideas from isolated high fertility cultures without the high fertility cultures assimilating ours in exchange, could be part of a solution. It also points back to the status hypothesis, that essentially Israel offers the high-fertility subcultures sufficiently high status that it raises the status of high fertility everywhere.
More Dakka
Money is always the default. As always, if brute force doesn’t solve your problem, then you are not using enough.
It’s hard to imagine it wouldn’t have a big effect if they did it.
Provided it is as it appears: a lump sum cash payment close to time of birth paid for from general tax revenues, not cuts to other family programs
Ben Landau-Taylor: I don’t really expect this to work. But if you’re gonna spend a few billion on a harebrained scheme that might not work—and let’s be real, we do that a lot—then this seems like one of the better ones you could try.
Samo Burja: For Korea even more than the U.S. reserving 20% of elite university spots to young mothers and fathers would immediately jump start fertility.
Ben Landau-Taylor: I don’t really expect this to work. But if you’re gonna spend a few billion on a harebrained scheme that might not work—and let’s be real, we do that a lot—then this seems like one of the better ones you could try.
The part where that means only 4.5 years of tax receipts, and thus a net loss, seems to miss the calculation. The payment is (likely progressive) redistribution, from some Koreans to others. We already do a lot of that without any fiscal payoff. The worry is that this would require marginal tax rates that were too high, and the deadweight loss would exceed the benefits.
My prediction is that I expect that if they did try $70k baby bonuses, as a lump sum payment, they would get a big impact. I also agree with Lyman that details matter. You 100% want to give this out as a lump sum so people feel it. And as this series has seen several times, South Korea has many other angles they could attack, if they were so inclined.
Here is someone who is at least brainstorming about opportunity costs:
Alex Nowrasteh: He asked what I’d do to increase fertility if that were the only outcome I cared about. After clarifying that I don’t support this policy, I said that I’d massively increase marginal tax rates on the second worker in any household to force them out of the labor market, which would lower their opportunity cost of having children. Then the producer came out and hustled me on set.
The problem is no one is forcing you to be a household. If you massively increase taxes on two-adult households, you get less households, especially what would have been two-income households.
So no, that will not work. If you want to drop the hammer via taxes, you have to tax childless households, or single person households. Or you can subsidize children heavily, which is the same thing, someone has to pay for that.
Bryan Caplan proposes a graduated income tax adjustment (+50%/0%/-20%/-40%/-60%/-80%/-100%) based on number of children, although he would prefer a tax holiday for some years. The advantage of lowering tax rates rather than lump sums is that you improve incentives, you avoid a budget line item and the people most tempted by lower tax rates are plausibly the right people to get to have more kids. Certainly a graduated schedule is better than Hungary’s ‘have four and never pay again’ plan.
I certainly know it would work, including that it would have worked on me personally.
I am almost certainly going to stick with three, but offer me no income tax for life and I assure you I’d have had four years ago.
The obvious issue is that this would get supremely expensive. Everyone earning millions a year would obviously find a way to have six kids, if necessary via surrogates or outright paying potential partners, and raised by those partners or often almost entirely by nannies. That is not exactly the goal, and you’d be paying way more than the market price to get it.
So you would want some cap on the effect, which could blunt how much it works. For those who have liquidity issues or short time preferences, which is most people, you are much more effective per dollar with the lump sum.
Perception
When deciding whether to have a child, it is the perceived costs matter.
Rachel Cohen: This spring, a European study came out with the provocative conclusion that having children contributes “little to nothing” to the persistent gap in earnings between men and women.
…
Meanwhile, the media does little to allay that concern: “One of the worst career moves a woman can make is to have children,” the New York Times once declared.
But while these economists found that Danish women who used in vitro fertilization experienced a large earnings penalty right after the birth of their first child, over the course of their careers, this penalty faded out. Eventually, the mothers even benefitted from a child premium compared to women who were not initially successful with IVF.
In other words, the so-called “motherhood penalty” that says women pay a price in the workplace for becoming moms might be less severe than previously thought.
“As children grow older and demand less care, we see that the mother’s earnings start to recover, with much of the immediate penalties made up 10 years after the birth of the first child,” the researchers wrote.
This is a good test, since success with IVF should be a good randomizer. It also is not as crazy as it sounds. The conventional wisdom is that fatherhood increases earnings, because the incentive to step up and earn more outweighs other considerations. Ten years is a long time, but it is a far cry from thinking this lasts for 40, and the trend actively reverses later on.
So in this study, the women whose IVF was successful took a large earning hit in year one, but recover rapidly starting with year two, break even by year 10 and end up with 2% higher overall lifetime earnings.
Using IVF means the study included relatively older prospective mothers. Other data suggests that having children when younger carries a larger earnings penalty. Also this was in Denmark, which likely made things easier in various ways.
A key claim in the post is that, because this finding conflicts with the standard narratives and the stories people want to tell, no one wanted to listen, and it was hard to even get the study published. But that a literature review tells a different story than the conventional one:
Rachel Cohen: Though it doesn’t always make it into the media discussion, scholars know that the motherhood penalty — which past researchhas foundaverages 5 to 10 percent per child for women in their 20s and 30s — can vary significantly based on occupation, the age at which women have their first child, their marital status, their cultural background, and whether they live in an urban or rural environment.
Averages can mask a lot, too. White women tend to experience higher motherhood penalties than Black and Hispanic women, but the magnitude of the penalty has gone down significantly for all women over the last 50 years, thanks to factors such as increased educational attainment and mothers returning more quickly to work after having kids. In some fields, there’s no penalty at all.
I don’t have the time to dive into the literature. Certainly, if women end up earning as much or more in the end, that means (counting raising the children) that they are doing massively more overall work to do it. And the children still cost a lot of money. But we should do our best to avoid giving families and women the wrong idea about the magnitude of this penalty.
Your Own Quest
Bryan Caplan is asked by reader Matt Kuras how to look for a woman who will want lots of kids. Bryan hits some of the obvious suggestions. Be up front about what you want, try multiple dating platforms, indicate some flexibility. He suggests potentially looking overseas, especially since Matt already speaks Spanish.
But Byran cautions (in response to Matt’s request) that going to Utah only makes sense if you go full Mormon. Whereas half the comments are saying, yes, you find this woman in a church, obviously. Certainly that is the percentage play, and has massive benefits, but involves very high particular costs one might not want to accept, as would other religious options.
Another thing several people noted is that saying 3+ kids up front narrows the field a lot, whereas once you have one often you can go from there. Either way, you ultimately have little say in the matter, promises are not reliably kept and preferences change, as they should given how much more one learns. It should help to be clear on what you want, but making a hard commit to big numbers a dealbreaker is not a luxury atheists have these days unless they want to sacrifice a lot everywhere else.
Are you good at predicting your own fertility? A paper asks.
Abstract: Unique data from the Berea Panel Study provides new evidence about fertility outcomes before age 30 and beliefs about these outcomes elicited soon after college graduation. Comparing outcomes and beliefs yields a measure of belief accuracy.
Individuals who are unmarried and not in relationships at age 24 are extremely optimistic about the probability of having children, while married individuals have very accurate beliefs. Novel attractiveness measures are central for understanding fertility beliefs and outcomes for females but not for males.
Marriage is a mechanism that is relevant for understanding differences in beliefs, outcomes, and misperceptions across relationship and attractiveness groups.
This makes sense. If you are single you are not properly discounting for various things that can go wrong, whereas if you are married you have ‘derisked’ in many ways.
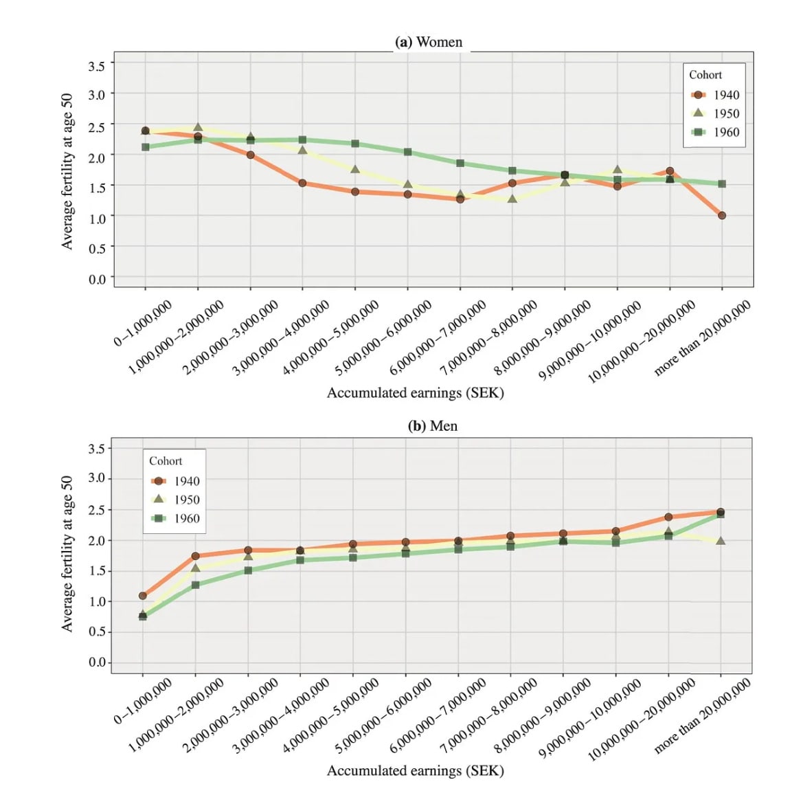
Emmett Shear: Making $250k/year doesn’t induce you to have many more children vs $200k/year vs $150k/year. But making $500k/year does, and making $1m/year *really* does.
At the high end with effectively unlimited resources, TFR is the highest.
This makes sense if you think about the amount of labor it takes to raise children. If mom or dad could be working and making $150k/year, leaving the workforce to care for the children is expensive. If you could only be making $25k/year, children “cost less”.
The shape of this curve suggests if you want people to be able to have closer to the number of children that they’d prefer (the number they’d have without resource constraints), it’s important that the subsidy be proportional to the income of the family.
Fixed subsidies (eg public education, a fixed earned income tax credit) make a *much* bigger proportional difference in this analysis for 20th percentile income family than a 60th percentile income family…and almost all our subsidies have that shape today.
But you don’t need it to scale indefinitely — families making $1m/year are already roughly “unconstrained” on this scale and thus don’t need a lot more subsidy.
Therefore, the ideal intervention to enable families to have their desired number of children looks something like “income tax credit of 10% of your total income per child, with a cap at $100k/year” or something to that effect.
Wow would that be a hard sell, but yes, absolutely, that is how it should work. People without children, who make a lot of money, should face higher tax rates than they do now, whereas those with children should face lower rates. This faces the reality.
When the issue is climate change, a prevalent rationalist take goes something like this:
“Climate change would be a top priority if it weren’t for technological progress. However, because technological advances will likely help us to either mitigate the harms from climate change or will create much bigger problems on their own, we probably shouldn’t prioritize climate change too much.”
We could say the same thing about these trends of demographic aging that you highlight. So, I’m curious why you’re drawn to this topic and where the normative motivation in your writing is coming from.
In the post, you use normative language like, “This suggests that we need to lower costs along many fronts of both money and time, and also we need to stop telling people to wait until they meet very high bars.” (In the context of addressing people’s cited reasons for why they haven’t had kids – money, insecurity about money, not being able to affords kids or the house to raise them in, and mental health.)
The way I conceptualize it, one can zoom in on different, plausibly-normatively-central elements of the situation:
(1) The perspective of existing people.
1a Nation-scale economic issues from an aging demographic, such as collapse of pension schemes, economic stagnation from the aging workforce, etc.
1b Individual happiness and life satisfaction (e.g., a claim that having children tends to make people happier, also applying to parents ‘on the margin,’ people who, if we hadn’t enouraged them, would have decided against children).
(2) Some axiological perspective that considers the interests of both existing and newly created people/beings.
It seems uncontroversial that both 1a and 1b are important perspectives, but it’s not obvious to me whether 1a is a practical priority for us in light of technological progress (cf the parallel to climate change) or how the empirics of 1b shake out (whether parents ‘on the margin’ are indeed happier). (I’m not saying 1b is necessarily controversial – for all I know, maybe the science already exists and is pretty clear. I’m just saying: I’m not personally informed on the topic even though I have read your series of posts on fertility.)
And then, (2) seems altogether subjective and controversial in the sense that smart people hold different views on whether it’s all-things-considered good to encourage people to have lower standards for bringing new people into existence. Also, there are strong reasons (I’ve written up a thorough case for this here and here) why we shouldn’t expect there to be an objective answer on “how to do axiology?.”
This series would IMO benefit from a “Why I care about this?” note, because without it, I get the feeling of “Zvi is criticizing things government do/don’t do in a way that might underhandedly bias readers into thinking that the implied normative views on population ethics are unquestioningly correct.” The way I see it, governments are probably indeed behaving irrationally here given them not being bought into the prevalent rationalist worldview on imminent technological progress (and that’s an okay thing to sneer at), but this doesn’t mean that we have to go “boo!” to all things associated with not choosing children, and “yeah!” to all things associated with choosing them.
That said, I still found the specific information in these roundups interesting, since this is clearly a large societal trend and it’s interesting to think through causes, implications, etc.
“Climate change would be a top priority if it weren’t for technological progress. However, because technological advances will likely help us to either mitigate the harms from climate change or will create much bigger problems on their own, we probably shouldn’t prioritize climate change too much.”
This attitude deserves a name: technocrastinating.
Technological progress has been happening for a while. At some point, this argument will stop making sense and we must admit that no, this (climate change, fertility, whatever) is not fine, stop technocrastinating and actually do something. That time might be right now, and the best time already past.
Paid sick leave decreases, rather than increases, fertility.
Is that correlation or causation? Like, maybe there is some X that decreases fertility and makes states more likely to legislate paid sick leave.
Also, sorry I am not familiar with English terminology here, does “sick leave” only apply to women who are sick, or also women who are at home with their sick children? Because if it’s the latter, the question is what is the alternative? Suppose you have a sick child and no way to take a break from your work, would you… hire a babysitter? ask the grandma to babysit? become a stay at home mom? Maybe it’s women staying at home, or people keeping good relations with their parents (because they need them to babysit their kids) that lead to people having more children.
Also, people can send their sick children to schools and kindergartens (if it is nothing too serious), if there is no other option. And if everyone knows that there is no other option, it becomes socially acceptable. Legislate sick leave, and suddenly it is no longer socially acceptable. Now the children’s sickness becomes more expensive for the parents, making children in general more expensive.
The explanation seems correct to me. Assuming that we (Slovakia) have a tax system similar to Hungary, it means that only a small part of “the part of your income the state takes from you” is called “tax”; the majority of it is called “social insurance” and “health insurance”. But it is not insurance in the literal sense of “your payment is proportional to the risk”; it is just another redistributive mechanism. You have twice the salary, you pay twice the health insurance, but receive exactly the same health care as anyone else. Also, the “tax” part is progressive, that is with a very small income you pay nothing, and then you pay more; but the “insurance” part is a more or less fixed fraction of your income. So “no tax” in practice means about zero difference if you get the minimal wage (because you wouldn’t be paying “tax” anyway, only “insurance”), and it is a difference between maybe 40% and 50% of your salary taken away at the high income levels. It’s definitely not what it sounds like.
The $30 direct payment and the $100 tax reduction can be important, for the kind of people in Eastern Europe who are not software developers, but the “no tax” part is only designed to sound impressive. Also, you start to get it too late (a few years after your last child was born), so it has no impact on the decision to start the family. And I suspect that starting the family young is the important thing if you want to have many kids.
Here are my policy proposals:
1) Lower the retirement age for people who have more kids, both men and women. The advantage is that this will appeal more to people with long-term thinking.
2) Make a law that companies have to provide part-time work opportunities. I guess this is outside the Overton window in USA, but European countries could do this. The reason is that big families traditionally meant that the mom stayed at home; you probably can’t make men stay at home instead because it is still women who get pregnant so that would mean losing both sources of income for the few months; but having both parents work part-time could be functionally equivalent.
If we only let ‘model parents’ have kids there won’t be many kids.
Exactly. In my experience, few people feel like model parents, because everyone made some mistake at some point; and also when people compare against each other, one is better at X, the other is better at Y, both can feel bad about it. For example, my kids are smart and well behaved and know a lot about computers, but maybe they should have better social skills and spend more time in the nature, so we worry about that; and then there are families with extraverted children who have a lot of fun outside, and they are worried about the grades at school.
I lived in homes with 2 different girls who became mothers at age 16, then both had another kid at 18, and another in their 20s (all different fathers). Interestingly, they had daughters only.
There probably is an evolutionary adaptation that influences (at least probabilistically) the child’s sex depending on the social situation. From the perspective of reproduction, girls are the conservative choice, boys are “all or nothing”. (Like, maybe not now, but definitely in our evolutionary past. A few men were chieftains and had plenty of wives and plenty of kids with them; most men died young in a battle. Women mostly had a few kids each.) So if your children are going to be rich and powerful, it makes more sense to have boys; if they are likely to be poor, it makes more sense to have girls. If you are a young woman who has a problem to keep a partner, yes, your children are likely to be poor. Unless they inherit the genes of some superior alpha male.
(This is not a thing discussed in a politically correct society these days, but the word “interestingly” suggests surprise, and surprise suggests having a blind spot in your model of the world. I am trying to fill in the gap.)
Has anyone ever talked to you about how aging changes your fertility? She said no. No one. Not one person.
Well, I would expect to get yelled at a lot and be called a sexist if I ever dared to mention this out loud. Then someone would mention that they actually know a woman who had a child at her 60s… well, they do not exactly know her in person, but they have read about her in a newspaper… Then everyone would clap.
You can also have the situation in between, when people are vaguely aware that too old is bad for fertility, but can’t translate it to numbers, whether “too old” means 30 or 40 or 50 or maybe 60. So they kinda know it, but at no moment of their life they consider themselves too close to being “too old”. Because as you get older, your perspective shifts. (Though there seems to be a Shelling point for women in some cultures to panic about marriage when they approach 30.)
The reviewer here noted that the marginal cost of additional children seems to decline. That has been my experience as well. There are dire warnings that two is more than twice as hard as one, or three will be so much harder than two.
In my experience, two is much harder than one when they are small (below school age). They are too incompatible, and you lose the option of “one parent babysits while the other takes a break”. When they reach the age that they can nicely play with each other, the costs of parenting become sublinear. Cooking for two kids is not more difficult than cooking for one (unless they have allergies), if you teach something one child, they will be often happy to teach the siblings, etc.
Your childcare regulations must be really harmful if parents respond by having noticeably fewer children.
At some places it is almost impossible to build new kindergartens; the regulations are too strict, many existing ones simply got grandfathered in.
The obvious response to the situation in South Korea would be to opt out of it. Accept that your children might be low status in the eyes of others, but if you can pass on the willingness to accept this and keep going, you inherit the country. [...] Alas, this is not a popular way of thinking.
Maybe there are some risks? Like, you will have a large low-status family, maybe even find a few friends that will do the same thing, so you are now a subculture… and a decade later, suddenly the social service comes and takes away your kids, using “they are so many, and so low-status” as evidence for you being a horrible parent?
(Not sure how much this is actually a risk in South Korea, but I have heard similar stories about Sweden. Doing things differently than the majority of people is… not technically illegal, but… can have consequences.)
Here Johann Kurtz extends the argument that status is the thing that counts, and that the newly low status of stay at home moms is the thing we have to fight. This seems super doable if we decide that we care. The issue is that so far we don’t care enough.
I see two status-lowering forces around me. One is the pressure to be a perfect parent. It is assumed that proper parenting takes a lot of money and time, so if you have too many kids (more than two? depends on whom you ask), you are not giving them enough, which makes you an irresponsible parent. (Perhaps you are too dumb to use birth control properly?) Here the Caplan’s book could change minds. The other force is, uhm, how to put it, feminism. Like, it is not enough to give women the choice of a career, you must also actively make sure that they take it, by shaming those who don’t. Let me quote a popular song that used to play here in the radio twenty years ago almost every day, very popular among young wannabe feminists. (translation mine)
“I don’t want to be a little domestic woman / and I don’t want to get married at all / I don’t want to be a wife and have stress / I don’t want to have a husband and five children // I don’t want to behave sensibly / and say no to all men / and be every Wednesday at a women’s club / that is not for me, that is a bad dream // To live like an artificial flower / and wait for someone to pollinate me / to be nice and good / I hope that won’t happen to me.”
Well, many of them got their wish now, and avoided the dreaded fate of “a little domestic woman”. Not sure how many actually enjoy it. (Also, fascinating frame control: a woman having kids is “like an artificial flower”, i.e. unnatural. Seriously?)
there is discussion of raising taxes on childless families
This could be one of those ideas that sound good if you haven’t spent 30 seconds actually thinking about it. Every person with children was previously childless. Taxing childless people doesn’t just mean “taxing people who never want to have children”. It also means e.g. “taxing people who don’t have children yet—but want to have them as soon as they save enough money to buy their own house”. The more you tax them, the later (or possibly never) that happens.
Possible solution: the money you pay as the childlessness tax is saved in a special personal account, and you get that money back after your first child is born (or maybe 50% at first child, 30% at second, 20% at third).
Those policies [of TMSC] seem fine, but not exceptional, and as others noted company benefits don’t seem to move fertility decisions much. Total compensation matters far more.
Yeah, it seems like the policies should not have such large effect. But maybe it is the kind of situation where providing many things together has stronger impact than providing them separately. Maternity leave and paternity leave and child subsidy and a kindergarten at workplace… and if that starts a wave of people having kids, then you also have many colleagues who have kids, and you are not damaging your career at the company. Basically, the effect of taking all these benefits at the same time, and being surrounded by people who do the same. Also, the child subsidy gives me the impression that the company really wants you to have kids; while e.g. the kindergarten could be perceived as merely removing an obstacle so that you can better focus on your job.
Sometimes the implementation details matter a lot. For example, I had a job that provided a subsidized kindergarten, but… the company paid 50% of the cost, and the kindergarten was twice as expensive as the private alternative next door, so ultimately I paid the same. (The benefit was that having the kindergarten at the same building made the logistic easier.) So it was the kind of a thing that is more impressive on paper than in reality. It would be quite different if the company paid e.g. 75% of the cost, or if the kindergarten would cost the same as the alternatives. I don’t know the numbers for TMSC, so I don’t know if this was the case.
Why is the Israeli birth rate so high, even outside religious communities? The hypothesis offered here is that those religious communities are integrated with more secular ones
I think it’s not just status, but generally how things are set up. A society where people have kids is a society that provides services for people who have kids. Are apartments built small or large? Is it acceptable to bring a child to a restaurant? Does the restaurant offer some toys for the kids, and a place to sit down and play with them? Will people throw a hissy fit if they see someone breastfeeding? If your child is often sick and you take too many leave days to care for it, will you get fired (for completely “unrelated” reasons, of course)? If someone organizes a local rationality meetup, is it possible to bring your kids along?
People with kids can make having kids normal; and when having kids is normal, it is easier to have kids.
if you’re gonna spend a few billion on a harebrained scheme that might not work...
If we are going to literally pay people for having kids, then if the scheme won’t work, at least we won’t spend too many billions, I guess.
half the comments are saying, yes, you find this woman in a church, obviously.
My advice would be to find a woman who has friends who have many (more than two) kids. Chances are, those will be religious people, but she doesn’t have to be.
Step one, don’t be an asshole, and make some religious friends… who will know that you are an atheist (i.e. don’t pretend to be something that you are not). Especially some religious friends who have kids, but chances are this will happen to many religious friends sooner or later anyway. Then, meet their friends. Chances are, you will meet a woman who is also an atheist, but is exposed to people who have kids, which makes her likely to copy their lifestyle.
sperms carrying Y and X chromozome are slightly different (because X is much larger than Y); woman’s opinions on her situation and her partner are reflected by her hormones; hormones might make woman’s reproductive system somewhat more friendly/hostile towards the desired/undesired sperms.
sperms with Y are smaller and faster, so they have a greater chance to fertilize the egg, but the male fetus also has a greater chance to be spontaneously aborted; stress (a predictor of bad future) makes the woman more likely to have a spontaneous abortion.
Gaby, it seems, cannot imagine any reason one might think that children are good or that the country would be better off with more of them. They couldn’t mean what they say about demographic collapse and our dependence on growth. They couldn’t be genuine in their values. It must be a political takeover, or racism.
To understand either Gaby Del Valle’s reaction or your reaction to Gaby Del Valle’s reaction, it would be helpful if you wrote anything about the conference. Judging based on my prior, it is likely that people organizing such a conference are not orthogonal to other general political ideology.
(My datapoint: people promoting more births etc were invited to different podcasts and it was mentioned they had a podcast of their own as well, so I searched that and was surprised that it seemed to be filled with almost cartoonish politics.)
I’m someone who doesn’t have children and doesn’t plan to, but I agree with pretty much everything in this post. I do have reservations on how to go about justly raising someone’s taxes now because of now-irreversible decisions they made not to have children in the past before the policy existed, but am all in favor of lump sums paid by future taxes, including higher taxes on me personally.
Is it sad I have higher expectations that society will solve the really hard technological problem of aging in the next couple of decades than the economically-should-be-straightforward problem of fertility gaps?
There is a difference between these two problems: aging is possibly solved by regular market forces because people have a willingness to pay for buying a solution for themselves.
If it is of interest, I carried out a highly informal reddit survey on the birthrate in the context of Scotland’s TFR being below that of Japan (with a summary here).
A common reason for not having children was the cost in terms of health, time, stress, freedom to travel, plan holidays, and move house. These are mostly invariant with income (unless you can afford a full-time nanny) and are the natural product of “good parenting” norms/obligations.
(which, it should be noted, are often reasonable: I think being a good parent does require spending a lot—more than any usual lifestyle activity—of time on your children; the kind of emotional investment which can lead to stress or pain; and a degree of stability/commitment which precludes the free-wheeling lifestyle of a single or DINK).
I am guessing that many modern people rate these intangible costs quite highly and the amount needed to pay them to accept the tradeoffs is therefore very high.
Your periodical reminder that the Italian government meets within walking distance from the Vatican.
The linked article frames this as “the Pope obviously hates homosexual couples and doesn’t want them to have children”, but I think this quite misses the point. The Catholic Church has been advocating against IVF since forever, and they don’t care if most surrogacy-seekers are heterosexual couples. According to doctrine it’s morally equivalent to abortion, period.
I’m actually quite surprised that no one else outside Rome has tried to fully ban surrogacy on religious grounds. Is no other government Catholic enough?
Not being able to afford kids or the house to raise them in.
My gut reaction is that these are more perceptions than real obstacles. There’s a strong perception that there’s a certain dollar amount or level of wealth before one should have children. Somehow changing the perception first would probably help fertility more than simply paying per child.
If you already live in a city, I think you are unlikely to move away to start the family at a cheaper place. You still need to keep a job, and city is where the jobs are.
So the necessary amount of money is:
to buy (not rent) a place to live
in a city
with at least three rooms
(optionally) enough that the wife can stay at home with kids, if necessary
Hm, maybe we could build a lot of new apartments, and sell them for a subsidized price to families with small children. With the condition that they cannot sell the apartment for N years, or they need to pay the subsidy back. Also, build kindergartens near the apartments (maybe even in the same buildings).
I can imagine that building as a solution to low fertility could pick up steam in the coming years in terms of rhetoric but all the same barriers will likely still be in place (NIMBYism, lobbying by landlords, status quo bias etc.)
When the issue is climate change, a prevalent rationalist take goes something like this:
“Climate change would be a top priority if it weren’t for technological progress. However, because technological advances will likely help us to either mitigate the harms from climate change or will create much bigger problems on their own, we probably shouldn’t prioritize climate change too much.”
We could say the same thing about these trends of demographic aging that you highlight. So, I’m curious why you’re drawn to this topic and where the normative motivation in your writing is coming from.
In the post, you use normative language like, “This suggests that we need to lower costs along many fronts of both money and time, and also we need to stop telling people to wait until they meet very high bars.” (In the context of addressing people’s cited reasons for why they haven’t had kids – money, insecurity about money, not being able to affords kids or the house to raise them in, and mental health.)
The way I conceptualize it, one can zoom in on different, plausibly-normatively-central elements of the situation:
(1) The perspective of existing people.
1a Nation-scale economic issues from an aging demographic, such as collapse of pension schemes, economic stagnation from the aging workforce, etc.
1b Individual happiness and life satisfaction (e.g., a claim that having children tends to make people happier, also applying to parents ‘on the margin,’ people who, if we hadn’t enouraged them, would have decided against children).
(2) Some axiological perspective that considers the interests of both existing and newly created people/beings.
It seems uncontroversial that both 1a and 1b are important perspectives, but it’s not obvious to me whether 1a is a practical priority for us in light of technological progress (cf the parallel to climate change) or how the empirics of 1b shake out (whether parents ‘on the margin’ are indeed happier). (I’m not saying 1b is necessarily controversial – for all I know, maybe the science already exists and is pretty clear. I’m just saying: I’m not personally informed on the topic even though I have read your series of posts on fertility.)
And then, (2) seems altogether subjective and controversial in the sense that smart people hold different views on whether it’s all-things-considered good to encourage people to have lower standards for bringing new people into existence. Also, there are strong reasons (I’ve written up a thorough case for this here and here) why we shouldn’t expect there to be an objective answer on “how to do axiology?.”
This series would IMO benefit from a “Why I care about this?” note, because without it, I get the feeling of “Zvi is criticizing things government do/don’t do in a way that might underhandedly bias readers into thinking that the implied normative views on population ethics are unquestioningly correct.” The way I see it, governments are probably indeed behaving irrationally here given them not being bought into the prevalent rationalist worldview on imminent technological progress (and that’s an okay thing to sneer at), but this doesn’t mean that we have to go “boo!” to all things associated with not choosing children, and “yeah!” to all things associated with choosing them.
That said, I still found the specific information in these roundups interesting, since this is clearly a large societal trend and it’s interesting to think through causes, implications, etc.
This attitude deserves a name: technocrastinating.
Technological progress has been happening for a while. At some point, this argument will stop making sense and we must admit that no, this (climate change, fertility, whatever) is not fine, stop technocrastinating and actually do something. That time might be right now, and the best time already past.
Related XKCD.
Is that correlation or causation? Like, maybe there is some X that decreases fertility and makes states more likely to legislate paid sick leave.
Also, sorry I am not familiar with English terminology here, does “sick leave” only apply to women who are sick, or also women who are at home with their sick children? Because if it’s the latter, the question is what is the alternative? Suppose you have a sick child and no way to take a break from your work, would you… hire a babysitter? ask the grandma to babysit? become a stay at home mom? Maybe it’s women staying at home, or people keeping good relations with their parents (because they need them to babysit their kids) that lead to people having more children.
Also, people can send their sick children to schools and kindergartens (if it is nothing too serious), if there is no other option. And if everyone knows that there is no other option, it becomes socially acceptable. Legislate sick leave, and suddenly it is no longer socially acceptable. Now the children’s sickness becomes more expensive for the parents, making children in general more expensive.
The explanation seems correct to me. Assuming that we (Slovakia) have a tax system similar to Hungary, it means that only a small part of “the part of your income the state takes from you” is called “tax”; the majority of it is called “social insurance” and “health insurance”. But it is not insurance in the literal sense of “your payment is proportional to the risk”; it is just another redistributive mechanism. You have twice the salary, you pay twice the health insurance, but receive exactly the same health care as anyone else. Also, the “tax” part is progressive, that is with a very small income you pay nothing, and then you pay more; but the “insurance” part is a more or less fixed fraction of your income. So “no tax” in practice means about zero difference if you get the minimal wage (because you wouldn’t be paying “tax” anyway, only “insurance”), and it is a difference between maybe 40% and 50% of your salary taken away at the high income levels. It’s definitely not what it sounds like.
The $30 direct payment and the $100 tax reduction can be important, for the kind of people in Eastern Europe who are not software developers, but the “no tax” part is only designed to sound impressive. Also, you start to get it too late (a few years after your last child was born), so it has no impact on the decision to start the family. And I suspect that starting the family young is the important thing if you want to have many kids.
Here are my policy proposals:
1) Lower the retirement age for people who have more kids, both men and women. The advantage is that this will appeal more to people with long-term thinking.
2) Make a law that companies have to provide part-time work opportunities. I guess this is outside the Overton window in USA, but European countries could do this. The reason is that big families traditionally meant that the mom stayed at home; you probably can’t make men stay at home instead because it is still women who get pregnant so that would mean losing both sources of income for the few months; but having both parents work part-time could be functionally equivalent.
Exactly. In my experience, few people feel like model parents, because everyone made some mistake at some point; and also when people compare against each other, one is better at X, the other is better at Y, both can feel bad about it. For example, my kids are smart and well behaved and know a lot about computers, but maybe they should have better social skills and spend more time in the nature, so we worry about that; and then there are families with extraverted children who have a lot of fun outside, and they are worried about the grades at school.
There probably is an evolutionary adaptation that influences (at least probabilistically) the child’s sex depending on the social situation. From the perspective of reproduction, girls are the conservative choice, boys are “all or nothing”. (Like, maybe not now, but definitely in our evolutionary past. A few men were chieftains and had plenty of wives and plenty of kids with them; most men died young in a battle. Women mostly had a few kids each.) So if your children are going to be rich and powerful, it makes more sense to have boys; if they are likely to be poor, it makes more sense to have girls. If you are a young woman who has a problem to keep a partner, yes, your children are likely to be poor. Unless they inherit the genes of some superior alpha male.
(This is not a thing discussed in a politically correct society these days, but the word “interestingly” suggests surprise, and surprise suggests having a blind spot in your model of the world. I am trying to fill in the gap.)
Well, I would expect to get yelled at a lot and be called a sexist if I ever dared to mention this out loud. Then someone would mention that they actually know a woman who had a child at her 60s… well, they do not exactly know her in person, but they have read about her in a newspaper… Then everyone would clap.
You can also have the situation in between, when people are vaguely aware that too old is bad for fertility, but can’t translate it to numbers, whether “too old” means 30 or 40 or 50 or maybe 60. So they kinda know it, but at no moment of their life they consider themselves too close to being “too old”. Because as you get older, your perspective shifts. (Though there seems to be a Shelling point for women in some cultures to panic about marriage when they approach 30.)
In my experience, two is much harder than one when they are small (below school age). They are too incompatible, and you lose the option of “one parent babysits while the other takes a break”. When they reach the age that they can nicely play with each other, the costs of parenting become sublinear. Cooking for two kids is not more difficult than cooking for one (unless they have allergies), if you teach something one child, they will be often happy to teach the siblings, etc.
At some places it is almost impossible to build new kindergartens; the regulations are too strict, many existing ones simply got grandfathered in.
Maybe there are some risks? Like, you will have a large low-status family, maybe even find a few friends that will do the same thing, so you are now a subculture… and a decade later, suddenly the social service comes and takes away your kids, using “they are so many, and so low-status” as evidence for you being a horrible parent?
(Not sure how much this is actually a risk in South Korea, but I have heard similar stories about Sweden. Doing things differently than the majority of people is… not technically illegal, but… can have consequences.)
I see two status-lowering forces around me. One is the pressure to be a perfect parent. It is assumed that proper parenting takes a lot of money and time, so if you have too many kids (more than two? depends on whom you ask), you are not giving them enough, which makes you an irresponsible parent. (Perhaps you are too dumb to use birth control properly?) Here the Caplan’s book could change minds. The other force is, uhm, how to put it, feminism. Like, it is not enough to give women the choice of a career, you must also actively make sure that they take it, by shaming those who don’t. Let me quote a popular song that used to play here in the radio twenty years ago almost every day, very popular among young wannabe feminists. (translation mine)
“I don’t want to be a little domestic woman / and I don’t want to get married at all / I don’t want to be a wife and have stress / I don’t want to have a husband and five children // I don’t want to behave sensibly / and say no to all men / and be every Wednesday at a women’s club / that is not for me, that is a bad dream // To live like an artificial flower / and wait for someone to pollinate me / to be nice and good / I hope that won’t happen to me.”
Well, many of them got their wish now, and avoided the dreaded fate of “a little domestic woman”. Not sure how many actually enjoy it. (Also, fascinating frame control: a woman having kids is “like an artificial flower”, i.e. unnatural. Seriously?)
This could be one of those ideas that sound good if you haven’t spent 30 seconds actually thinking about it. Every person with children was previously childless. Taxing childless people doesn’t just mean “taxing people who never want to have children”. It also means e.g. “taxing people who don’t have children yet—but want to have them as soon as they save enough money to buy their own house”. The more you tax them, the later (or possibly never) that happens.
Possible solution: the money you pay as the childlessness tax is saved in a special personal account, and you get that money back after your first child is born (or maybe 50% at first child, 30% at second, 20% at third).
Yeah, it seems like the policies should not have such large effect. But maybe it is the kind of situation where providing many things together has stronger impact than providing them separately. Maternity leave and paternity leave and child subsidy and a kindergarten at workplace… and if that starts a wave of people having kids, then you also have many colleagues who have kids, and you are not damaging your career at the company. Basically, the effect of taking all these benefits at the same time, and being surrounded by people who do the same. Also, the child subsidy gives me the impression that the company really wants you to have kids; while e.g. the kindergarten could be perceived as merely removing an obstacle so that you can better focus on your job.
Sometimes the implementation details matter a lot. For example, I had a job that provided a subsidized kindergarten, but… the company paid 50% of the cost, and the kindergarten was twice as expensive as the private alternative next door, so ultimately I paid the same. (The benefit was that having the kindergarten at the same building made the logistic easier.) So it was the kind of a thing that is more impressive on paper than in reality. It would be quite different if the company paid e.g. 75% of the cost, or if the kindergarten would cost the same as the alternatives. I don’t know the numbers for TMSC, so I don’t know if this was the case.
I think it’s not just status, but generally how things are set up. A society where people have kids is a society that provides services for people who have kids. Are apartments built small or large? Is it acceptable to bring a child to a restaurant? Does the restaurant offer some toys for the kids, and a place to sit down and play with them? Will people throw a hissy fit if they see someone breastfeeding? If your child is often sick and you take too many leave days to care for it, will you get fired (for completely “unrelated” reasons, of course)? If someone organizes a local rationality meetup, is it possible to bring your kids along?
People with kids can make having kids normal; and when having kids is normal, it is easier to have kids.
If we are going to literally pay people for having kids, then if the scheme won’t work, at least we won’t spend too many billions, I guess.
My advice would be to find a woman who has friends who have many (more than two) kids. Chances are, those will be religious people, but she doesn’t have to be.
Step one, don’t be an asshole, and make some religious friends… who will know that you are an atheist (i.e. don’t pretend to be something that you are not). Especially some religious friends who have kids, but chances are this will happen to many religious friends sooner or later anyway. Then, meet their friends. Chances are, you will meet a woman who is also an atheist, but is exposed to people who have kids, which makes her likely to copy their lifestyle.
(Which is how I met my wife, by the way.)
“There probably is an evolutionary adaptation that influences (at least probabilistically) the child’s sex depending on the social situation.”
Hm, if this were the case, I would expect either someone had already found evidence for it, or there were at least some plausible mechanism?
Some guesses at a possible mechanism:
sperms carrying Y and X chromozome are slightly different (because X is much larger than Y); woman’s opinions on her situation and her partner are reflected by her hormones; hormones might make woman’s reproductive system somewhat more friendly/hostile towards the desired/undesired sperms.
sperms with Y are smaller and faster, so they have a greater chance to fertilize the egg, but the male fetus also has a greater chance to be spontaneously aborted; stress (a predictor of bad future) makes the woman more likely to have a spontaneous abortion.
To understand either Gaby Del Valle’s reaction or your reaction to Gaby Del Valle’s reaction, it would be helpful if you wrote anything about the conference. Judging based on my prior, it is likely that people organizing such a conference are not orthogonal to other general political ideology.
(My datapoint: people promoting more births etc were invited to different podcasts and it was mentioned they had a podcast of their own as well, so I searched that and was surprised that it seemed to be filled with almost cartoonish politics.)
I’m someone who doesn’t have children and doesn’t plan to, but I agree with pretty much everything in this post. I do have reservations on how to go about justly raising someone’s taxes now because of now-irreversible decisions they made not to have children in the past before the policy existed, but am all in favor of lump sums paid by future taxes, including higher taxes on me personally.
Is it sad I have higher expectations that society will solve the really hard technological problem of aging in the next couple of decades than the economically-should-be-straightforward problem of fertility gaps?
There is a difference between these two problems: aging is possibly solved by regular market forces because people have a willingness to pay for buying a solution for themselves.
Exactly
If it is of interest, I carried out a highly informal reddit survey on the birthrate in the context of Scotland’s TFR being below that of Japan (with a summary here).
A common reason for not having children was the cost in terms of health, time, stress, freedom to travel, plan holidays, and move house. These are mostly invariant with income (unless you can afford a full-time nanny) and are the natural product of “good parenting” norms/obligations.
(which, it should be noted, are often reasonable: I think being a good parent does require spending a lot—more than any usual lifestyle activity—of time on your children; the kind of emotional investment which can lead to stress or pain; and a degree of stability/commitment which precludes the free-wheeling lifestyle of a single or DINK).
I am guessing that many modern people rate these intangible costs quite highly and the amount needed to pay them to accept the tradeoffs is therefore very high.
Your periodical reminder that the Italian government meets within walking distance from the Vatican.
The linked article frames this as “the Pope obviously hates homosexual couples and doesn’t want them to have children”, but I think this quite misses the point. The Catholic Church has been advocating against IVF since forever, and they don’t care if most surrogacy-seekers are heterosexual couples. According to doctrine it’s morally equivalent to abortion, period.
I’m actually quite surprised that no one else outside Rome has tried to fully ban surrogacy on religious grounds. Is no other government Catholic enough?
The link does not seem to work.
My gut reaction is that these are more perceptions than real obstacles. There’s a strong perception that there’s a certain dollar amount or level of wealth before one should have children. Somehow changing the perception first would probably help fertility more than simply paying per child.
If you already live in a city, I think you are unlikely to move away to start the family at a cheaper place. You still need to keep a job, and city is where the jobs are.
So the necessary amount of money is:
to buy (not rent) a place to live
in a city
with at least three rooms
(optionally) enough that the wife can stay at home with kids, if necessary
Hm, maybe we could build a lot of new apartments, and sell them for a subsidized price to families with small children. With the condition that they cannot sell the apartment for N years, or they need to pay the subsidy back. Also, build kindergartens near the apartments (maybe even in the same buildings).
I can imagine that building as a solution to low fertility could pick up steam in the coming years in terms of rhetoric but all the same barriers will likely still be in place (NIMBYism, lobbying by landlords, status quo bias etc.)
Stealing that!