Project proposal: Testing the IBP definition of agent
Context
Our team in SERI MATS needs to choose a project to work on for the next month. We spent the first two weeks discussing the alignment problem and what makes it difficult, and proposing (lots of) projects to look for one that we think would directly address the hard parts of the alignment problem.
We’re writing this post to get feedback and criticism of this project proposal. Please let us know if you think this is a suboptimal project in any way.
Project
Disclaimer: We’ve probably misunderstood some things, don’t assume anything in this post accurately represents Vanessa’s ideas.
Our project is motivated by Vanessa Kosoy’s PreDCA proposal. We want to understand this proposal in enough detail that we can simplify it, as well as see and patch any holes.
IBP gives us several key tools:
A “Bridge Transform”, that takes in a hypothesis about the universe and tells us which programs are running in the universe.
An “Agentometer”[1] that takes in a program and tell us how agentic it is, which is operationalized as how well the agent does according to a fixed loss function relative to a random policy.
A “Utiliscope”[1] that, given an agent, outputs a distribution over the utility functions of the agent.
Together these tools could give a solution to the pointers problem, which we believe is a core problem in alignment. We will start this by understanding and testing Vanessa’s definition of agency.
Definition of Agency
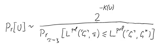
The following is Vanessa’s definition of the intelligence of an agent, where an agent is a program, denoted by , that outputs policies (as described in Evaluating Agents in IBP). This can be used to identify agents in a world model.
Definition 1.6: Denote the policy actually implemented by . Fix . The physicalist intelligence of relative to the baseline policy mixture prior and loss function is defined by:
In words, this says that the intelligence of the agent , given a loss function , is the negative log of the probability that a random policy is better than the actual policy the agent implements, denoted by .
The next part is how to extract (a distribution over) the utility function of a given agent (from video on PreDCA):
Here, is just the negative of the utility function . Combining this with the definition of intelligence above gives a simpler representation:
.
In words, the probability that agent has utility function is exponentially increasing in the intelligence of implied by and exponentially decreasing in the Kolmorogov complexity of .
Path to Impact
We want a good definition of agency, and methods of identifying agents and inferring their preferences.
If we have these tools, and if they work really well even in various limits (including the limit of training data/compute/model size/distribution shifts), then this solves the hardest part of the alignment problem (by pointing precisely to human values via a generalized version of Inverse Reinforcement Learning).
These tools also have the potential to be useful for identifying mesa-optimizers, which would help us to avoid inner alignment problems.
How we plan to do it
Theoretically:
Constructing prototypical examples and simple edge cases, i.e. weird almost-agents that don’t really have a utility function, and theoretically confirming that the utility function ascribed to various agents matches our intuitions. Confirming that the maximum of the utility function corresponds to a world that the agent intuitively does want.
Examining what happens when we mess around with the priors over policies and the priors over utility functions.
Exploring simplifications and modifications to the assumptions and definitions used in IBP, in order to see if this lends itself to a more implementable theory.
Experimentally:
Working out ways of approximating the algorithm for identifying an agent and extracting its utility function, to make it practical and implementable.
Working out priors that are easy to use.
Constructing empirical demonstrations of identifying an agent’s utility function to test whether a reasonable approximation is found.
Doing the same for identifying agents in an environment.
Distillation
In order to do this properly, we will need to understand and distill large sections of Infra-Bayesian Physicalism. Part of the project will be publishing our understanding, and we hope that other people looking to understand and build on IBP will benefit from this distillation.
Conclusion
That’s where we are right now—let us know what you think!
- ^
“Agentometer” and “Utiliscope” are not Vanessa’s terminology.
In keeping with the tradition of InfraBayes, I do not understand what you actually plan to test. But “empirically test IBP” sure does sound like a great project!
The way we see this project going concretely looks something like:
First things first, we want to get a good enough theoretical background of IBP. This will ultimately result in something like a distillation of IBP that we will use as reference, and hope others will get a lot of use from.
In this process, we will be doing most of our testing in a theoretical framework. That is to say, we will be constructing model agents and seeing how InfraBayesian Physicalism actually deals with these in theory, whether it breaks down at any stage (as judged by us), and if so whether we can fix or avoid those problems somehow.
What comes after this, as we see it at the moment, is trying to implement the principles of InfraBayesian Physicalism in a real-life, honest-to-god, Inverse Reinforcment Learning proposal. We think IBP stands a good chance of being able to patch some of the largest problems in IRL, which should ultimately be demonstrable by actually making an IRL proposal that works robustly. (When this inevitably fails the first few times, we will probably return to step 1, having gained useful insights, and iterate).
I’m glad that you guys are interested in working on IBP/PreDCA. Here are a few points that might help you:
The scope of this project seems extremely ambitious. I think that the road from here to empirical demonstrations (assuming that you mean in the real-world rather than some artificial toy setting) is a programme for many people working over many years. Therefore, I think you will benefit from zooming in and deciding on the particular first step you want to take along that road.
Technicality: the definition of g in the IBP post is for a fixed loss function, because that was sufficient for purposes of that post, but the definition of the cartesian version is loss-function-agnostic. Ofc it’s completely straightforward to write a loss-function-specific cartesian version and a loss-function-agnostic physicalist version.
Regarding the agentometer/utiliscope, I think it’s probably best to start from studying the cartesian versions, because that’s likely to be simpler and the physicalist theory will build on that.
Specifically, we want to get theorems along the lines of: (i) For an agent with g≫0, the asymptotic behavior of the utility function can be inferred nearly unambiguously. (ii) Inferring the utility function of agent-1 and then optimizing it via agent-2 that e.g. has a richer observation channel leads to results that are better for agent-1 than what agent-1 can do on its own, in the long time horizon limit.
The epistemic status of the ulitiscope formula from my presentation is: I’m pretty optimistic that there is some correct formula along those lines, but the specific formula I wrote there is just my best guess after thinking for a short time and I am far from confident it is correct. My confidence would become much better if we demonstrated some non-trivial theorems that show it satisfies some intuitive desiderata.
The epistemic status of the definition of g is: I’m pretty optimistic it is close to correct, but there is definitely room for quibbling over the details.
While studying the computational complexity of the relevant mathematical objects is reasonable, I advise to steer clear of practical implementations of IBRL/IBP (assuming that “practical” means “competitive+ with ANNs”) because of the associated risks, until we are much further along on the theoretical side.
Also, I am completely open to discussing the details of your project in private, if you’re serious about it.
Hi Vanessa!
Thank you so much for your thoughtful reply. To respond to a few of your points:
We only mean to test this in an artificial toy setting. We agree that empirical demonstrations seem very difficult.
Thanks for pointing out the cartesian versions -- I hadn’t read this before, and this is a nice clarification on how to measure g in a loss-function agnostic way.
It’s good to know about the epistemic status of this part of the theory, we might take a stab at proving some of these bounds.
We will definitely make sure to avoid competitive implementations because of the associated risks.
We would very much appreciate discussing details in private, we are serious about it. I’ll follow up with a DM on LessWrong soon.