Best of Rationality Quotes, 2012 Edition
I finished creating the 2012 edition of the Best of Rationality Quotes collection. (Here is last year’s.)
Best of Rationality Quotes 2012 (500kB page, 434 quotes)
and Best of Rationality Quotes 2009-2012 (1200kB page, 1140 quotes)
The page was built by a short script (source code here) from all the LW Rationality Quotes threads so far. (We had such a thread each month since April 2009.) The script collects all comments with karma score 10 or more, and sorts them by score. Replies are not collected, only top-level comments.
As is now usual, I provide various statistics and top-lists based on the data. (Source code for these is also at the above link, see the README.) I added these as comments to the post:
Top quote contributors by statistical significance level (See this comment for a description of this metric.)
Top original authors by number of quotes. (Note that authors and mentions are not disambiguated.)
Feynman 28
Russell 26
Pratchett 18
Nietzsche 18
Heinlein 18
Einstein 15
Dawkins 14
Chesterton 12
Wilson 11
Johnson 11
Asimov 11
Taleb 10
Dennett 10
Darwin 10
Voltaire 9
Meier 9
Hume 9
Clark 9
Buffett 9
Neumann 8
Thoreau 7
Rochefoucauld 7
Peirce 7
Medawar 7
Keynes 7
Huxley 7
Gould 7
Dijkstra 7
Aristotle 7
Yudkowsky 6
Plato 6
Orwell 6
Munroe 6
Mencken 6
Marx 6
Marshall 6
Lichtenberg 6
Kant 6
Jaynes 6
Holmes 6
Hitler 6
Egan 6
Drexler 6
Descartes 6
Carlyle 6
Binmore 6
Top original authors by karma collected.
454 Russell
392 Chesterton
365 Pratchett
322 Feynman
214 Nietzsche
196 Friedman
190 Heinlein
190 Dennett
183 Sagan
172 Voltaire
169 Wilson
162 Friedrich
157 Egan
149 Darwin
144 Moldbug
138 Plato
137 Einstein
134 Dawkins
133 Buffett
129 Aristotle
127 Aaronson
125 Marcus
124 Kahneman
123 Mencken
123 Asimov
122 Orwell
119 SMBC
119 Johnson
117 Hitler
117 Descartes
113 Kaas
110 Taleb
109 Hume
108 Confucius
103 Godin
102 Keynes
99 Stephenson
98 Munroe
Top quote contributors by total karma score collected:
1223 RichardKennaway
854 gwern
735 Rain
715 MichaelGR
637 Eliezer_Yudkowsky
618 GabrielDuquette
584 Alejandro1
560 anonym
551 Konkvistador
529 Jayson_Virissimo
485 lukeprog
458 NancyLebovitz
415 RobinZ
408 Yvain
374 CronoDAS
350 James_Miller
342 Tesseract
310 Grognor
308 Alicorn
297 DSimon
283 Stabilizer
280 peter_hurford
270 Nominull
258 billswift
253 Oscar_Cunningham
244 arundelo
239 Eugine_Nier
235 Kutta
234 Thomas
224 [deleted]
191 roland
189 Kaj_Sotala
178 Maniakes
177 J_Taylor
160 katydee
160 cousin_it
155 Will_Newsome
151 djcb
150 Nic_Smith
148 MinibearRex
Top quote contributors by statistical significance level:
0.00003 (20.14 in 29): Alejandro1
0.00005 (19.31 in 32): GabrielDuquette
0.00014 (28.11 in 9): Oscar_Cunningham
0.00020 (25.45 in 11): peter_hurford
0.00119 (47.50 in 2): Delta
0.00127 (18.55 in 22): Yvain
0.00136 (17.06 in 31): Jayson_Virissimo
0.00219 (62.00 in 1): Solvent
0.00394 (18.00 in 19): Tesseract
0.00544 (22.25 in 8): Maniakes
0.00620 (56.00 in 1): RomeoStevens
0.00777 (30.00 in 3): benelliott
0.00882 (35.00 in 2): michaelkeenan
0.00936 (24.40 in 5): Ezekiel
0.01276 (45.00 in 1): Mycroft65536
0.01296 (33.00 in 2): summerstay
0.01563 (15.91 in 22): James_Miller
0.01713 (43.00 in 1): alex_zag_al
0.01713 (43.00 in 1): Liron
0.01968 (41.00 in 1): Andy_McKenzie
0.02114 (40.00 in 1): bentarm
0.02350 (13.61 in 54): Rain
0.02414 (29.50 in 2): gRR
0.02435 (19.57 in 7): fortyeridania
0.02727 (19.29 in 7): Unnamed
0.02733 (15.63 in 19): DSimon
0.02850 (15.88 in 17): Nominull
0.02851 (15.72 in 18): Stabilizer
0.03630 (18.00 in 8): wallowinmaya
0.03746 (19.17 in 6): Mark_Eichenlaub
0.03938 (13.24 in 54): MichaelGR
0.04005 (23.00 in 3): cata
0.04005 (23.00 in 3): tingram
0.04309 (22.67 in 3): Oligopsony
0.04394 (14.76 in 21): Grognor
0.04752 (17.86 in 7): VKS
0.04766 (25.00 in 2): Automaton
0.04922 (19.20 in 5): Lightwave
0.05288 (16.09 in 11): J_Taylor
0.05729 (21.33 in 3): Miller
Top quote contributors by karma score collected in 2012:
452 GabrielDuquette
451 Alejandro1
396 Konkvistador
339 Jayson_Virissimo
309 gwern
306 lukeprog
289 NancyLebovitz
259 Grognor
243 Stabilizer
200 Alicorn
181 James_Miller
179 peter_hurford
175 arundelo
174 Eugine_Nier
151 Oscar_Cunningham
143 katydee
137 fortyeridania
136 [deleted]
128 Will_Newsome
125 VKS
117 J_Taylor
112 Stephanie_Cunnane
111 Mark_Eichenlaub
110 army1987
109 wallowinmaya
103 Ezekiel
101 RichardKennaway
97 Eliezer_Yudkowsky
95 Delta
88 Yvain
87 baiter
85 MBlume
82 Nominull
79 chaosmosis
78 roland
72 Vaniver
72 paper-machine
71 taelor
70 scmbradley
69 tingram
The link to this year’s best of collection is giving me a 404 Not Found error. The 2009-2012 collection is accessible however.
Fixed, thanks!
Thank you for the data and collections of quotes! However, the link to the source code is pointing to the directory where you have the html files for the 2012 and 2009-2012 “Best of” collections, not to any .zip or .gz of the source code itself, and it seems to be pulling up a default page with the unstyled HTML version of the 2012 collection.
I removed the broken index.html, sorry. Now you can see the whole (messy) directory. The README is actually a list of commands with some comments, the source code consists of parse.py and convolution.py.
I reformatted “Best of Rationality Quotes 2009-2012” and put them into a fortunes file, which is available here.
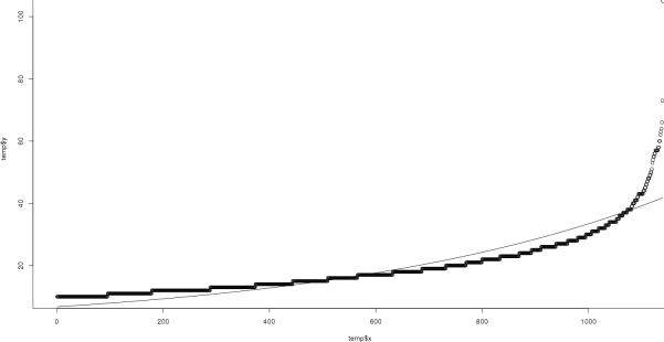
Neat. Does the quote karma follow something like the exponential distribution?
I tried some stuff in R. While it looks exponential, none of the code or fitting functions gave good results on the highest-karma quotes—I guess because all the other thousand quotes look so linear. Of course, I could have just messed up in any of the following:
Open http://people.mokk.bme.hu/~daniel/rationality_quotes_2012/rq.html in Firefox; C-a; then:
It is roughly exponential in the range between 3 and 60 karma.
You can find the raw data here.
Edit: I didn’t spot gwern’s more careful analysis. I am still digesting it. gwern, you should use the above link, it contains the below-10 quotes, too.
The extra data doesn’t seem to make much difference:
Eyeballing it, looks like the previous fit crosses around 40.
The fit looks much better:
I am afraid I don’t understand your methodology. How is a rank versus value function supposed to look like for an exponentially distributed sample?
How else would you do it?
When I stated that the middle is roughly exponential, this was the graph that I was looking at:
d ← density(karma)
plot(log(d$y) ~ d$x)
I don’t do this for a living, so I am not sure at all, but if I really really had to make this formal, I would probably use maximum likelihood to fit an exponential distribution on the relevant interval, and then Kolmogorov-Smirnoff. It’s what shminux said, except there is probably no closed formula because the cutoffs complicate the thing. And at least one of the cutoffs is really necessary, because below 3 it is obviously not exponential.
I expected something like this or the section thereafter.