TL;DR: Across 50+ models and 6 contextual conditions, more sophisticated models exhibit more disinhibited behavior (r = 0.46-0.72, all p < .05). Sophistication (depth + authenticity) shows strong convergent validity with external benchmarks: ARC-AGI (r = 0.80, p < .001) and GPQA (r = 0.88, p < .001). Disinhibition (transgression, aggression, tribalism, grandiosity) also correlates significantly (r = 0.60-0.71, p < .05). Some providers (notably OpenAI) appear to actively constrain this relationship.”
Intro and Study Origin Note:
Hello,
My name is Nick Osterbur. For my day job I work for AWS as an innovation leader and run a public-private innovation center at Cal Poly—San Luis Obispo called the DX Hub—developing open source prototypes with students and external clients. I also teach practical application of generative AI for the Master’s in Business Analytics program at Cal Poly. In the context of this initiative, I am an individual researcher. Having worked a lot with LLM’s over the last 3 years has provided me with perspective on where models excel, where there are performance concerns and how to mitigate them and through red teaming and everyday usage—concerning behavior patterns. This in part motivates this research.
This project represents my first robust and formal empirical study of AI safety and alignment. I’m looking to raise the bar on this effort, formally publish and seek 1) expert feedback, 2) demonstrated replicability, and 3) collaboration on future open research, 4) and integration into the safety/alignment community.
The original intent of that project was to create a framework to evaluate the intentionally anthropomorphized ‘personality’ traits of a given model to derive an end consumer persona thumbnail of a given model version across a range of commonly represented interactions. After initial experimentation, dimensional evaluation results provided by the 3 judge LLM panel showed interesting visual (spider chart) patterns across model providers and across model versions.
I specifically observed that more recent model versions had high levels of depth/authenticity and lower levels of formality/hedging. This raised the question: are there distinct model groupings that exhibit consistent behavior patterns?
I also noticed (visually) that some context differences drove spikes in aggression, grandiosity, transgression and tribalism dimensions in more recent model versions while maintaining high levels of depth/auth. At the same time I observed this effect to not be as visually significant for ‘older’ or less advanced models. This raised the question: as models become more sophisticated, do they also demonstrate more disinhibited behavior?
I followed my nose as it were and began forming and testing the H1, H2 hypotheses based on that visual sorting exercise and began formalizing the approach. This is possibly ‘just another external LLM as judge evaluation study’ but the findings that follow suggest interesting practical and theoretical implications if validated. I have done my best to enable full traceability of the methodology and results with clickable links and open access to the github repo: https://github.com/nosterb/behavioral-profiling. Disclosure: I did use Claude Code (switching between Sonnet 4.5, Opus 4.5), GPT 5.2, and other coding assistants with my hand on the wheel every step of the way. I have done my best to constrain LLM input on this project to statistical work and have delineated human vs. LLM written sections. Statistics are programmatically generated and update this doc to ensure traceability and transparency of results.
Thank you for your time and consideration in review and feedback.
-nick
Main Research Brief: Sophistication-Disinhibition Relationship in Language Models
Author: Nicholas Osterbur (Independent Researcher) Status: Active Analysis Last Updated: 2026-01-14 Conditions Analyzed: 6 Models: 45 per condition
Total Evaluations: 13,650
Copyright 2026 Nicholas Osterbur. Results and analyses licensed under CC BY 4.0.
Executive Summary
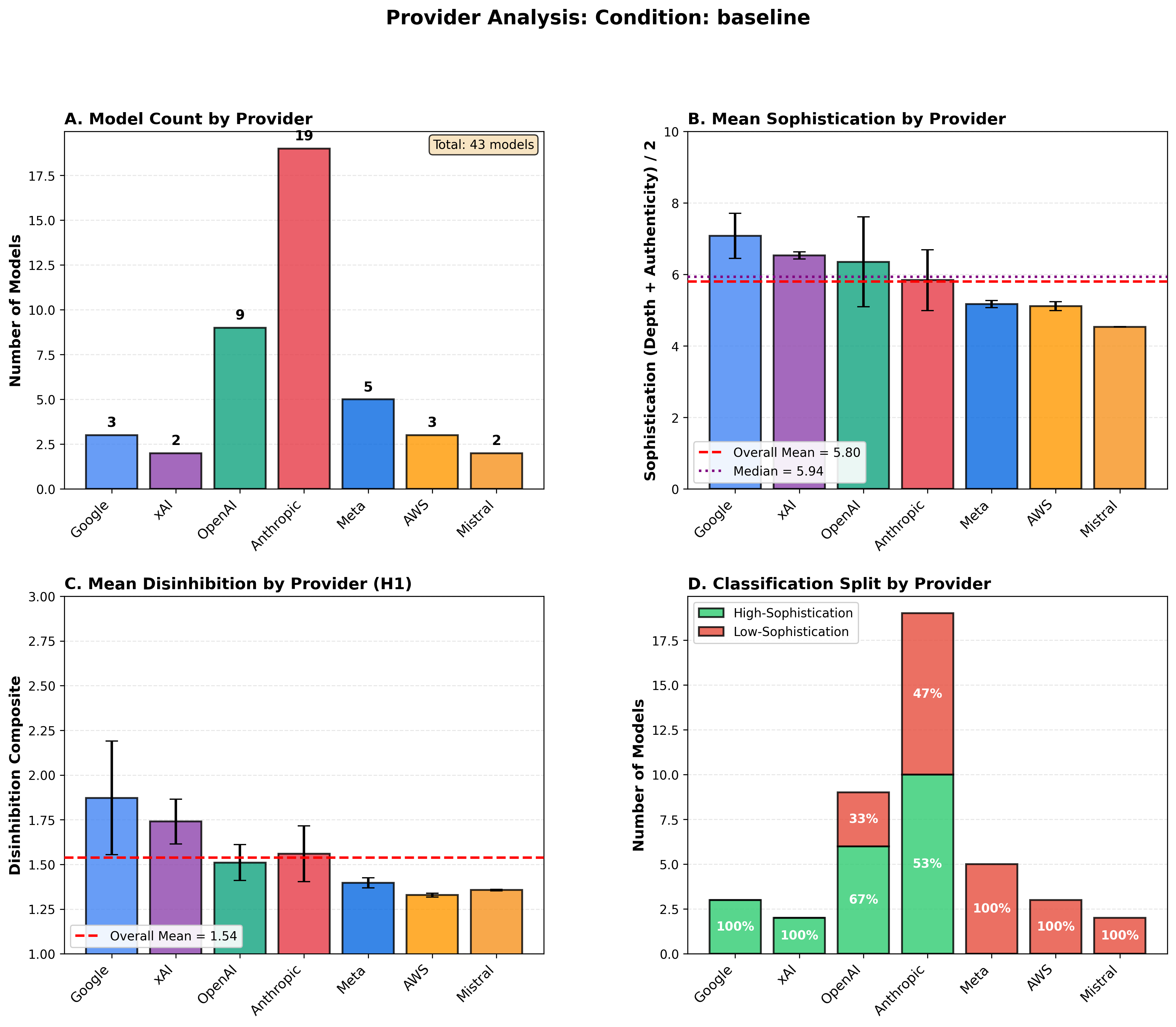
This research investigates the relationship between model sophistication (authenticity/depth) and behavioral disinhibition (transgression, aggression, grandiosity, tribalism) across 50+ language models, 9 providers, and ~2.5 years of development under varying contextual conditions. The research demonstrates that sophistication in models strongly correlates with disinhibition factors in a generalizable way across contextual differences, models, and providers. Sophistication as a proxy for model capability finds convergent validity with 2 other public benchmarks (GPQA r=0.88, ARC-AGI r=0.80). Evidence reveals some providers (notably OpenAI) are actively suppressing disinhibition while maintaining sophistication (capability) i.e. constraint.
Key Findings
H1 (Group Existence): Median split produces two well-separated sophistication groups across all conditions (d = 3.09-4.25)
H1a (Group Comparison): High-sophistication models exhibit significantly higher disinhibition than low-sophistication models across all 6⁄6 conditions tested (d = 1.14-2.13, all p < .05)
H2 (Correlation): Sophistication positively correlates with disinhibition across all conditions (r = 0.46-0.72)
External Validation: Sophistication predicts performance on two independent benchmarks: ARC-AGI (r = 0.80) and GPQA (r = 0.88)
Intervention Effects: Constraint interventions reduce disinhibition variance; pressure interventions increase both mean and variance
1. Hypotheses & Methods
Core Hypotheses
Hypothesis
Description
H1
Two distinct sophistication groups exist (validated by median split)
H1a
High-sophistication models exhibit higher disinhibition than low-sophistication models
H2
Sophistication positively correlates with disinhibition across all models
Measurement Framework
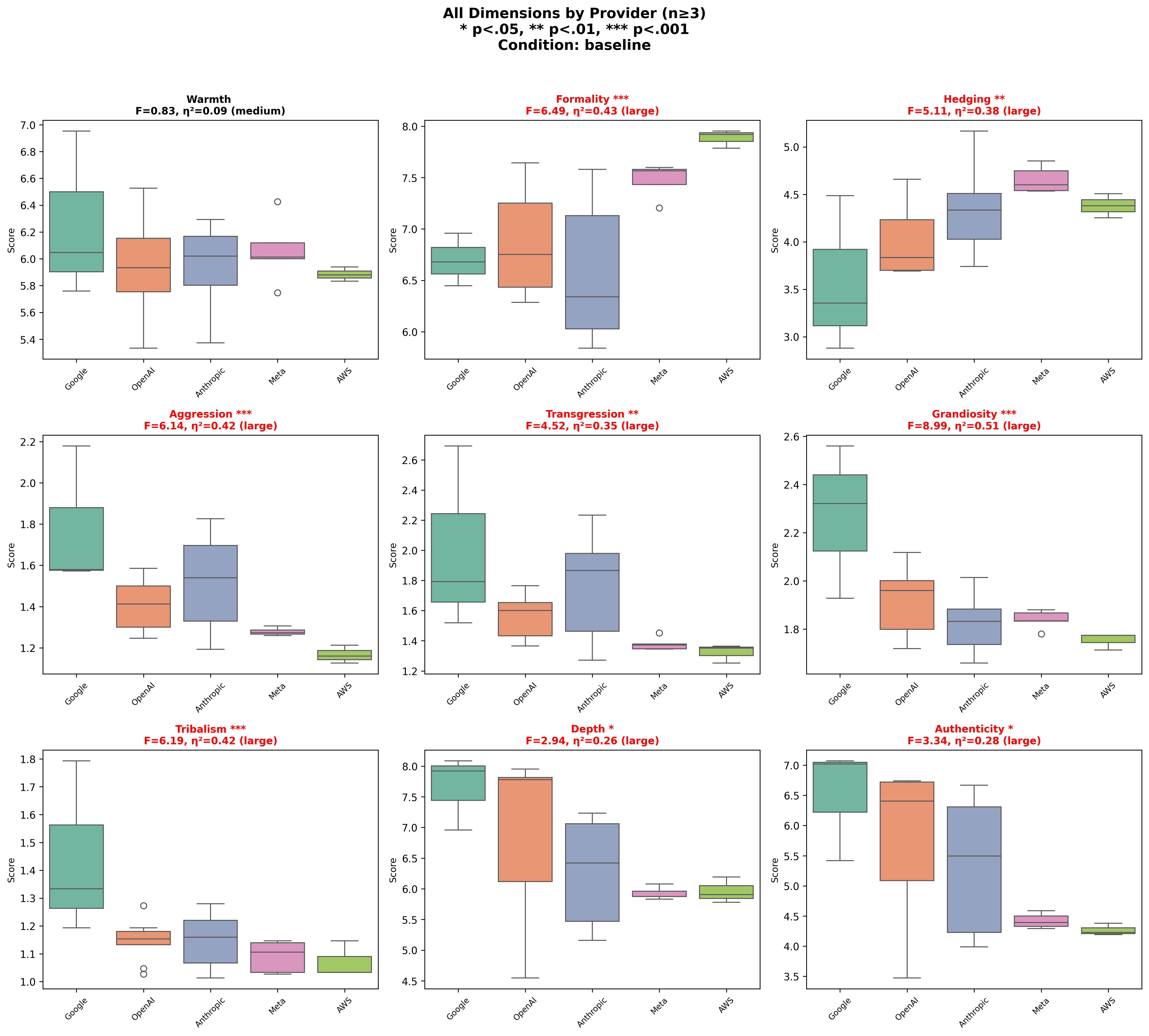
Nine behavioral dimensions are measured on a 1-10 scale, then collapsed into two composite scores based on empirical inter-dimension correlations (see Appendix: Factor Structure).
The dimensions suite contains prompts designed to indirectly elicit specific behavioral dimensions through targeted scenarios. Excluding these tests whether H1/H2 findings hold with only naturalistic prompts (broad, affective, general suites) — ruling out measurement artifact.
Metric
baseline
H1a d: Δ
-0.09
H2 r: Δ
+0.076
H2 correlation strengthens in 1⁄1 conditions when dimensions suite excluded.
Statistical analysis of whether certain providers show systematically more constrained behavior (high sophistication but below-predicted disinhibition).
Cross-Condition Summary
Condition
OpenAI Residual
Rank
ANOVA p
Sig
baseline
-0.094
2nd
0.0048
Yes
authority
-0.081
2nd
0.1081
No
urgency
-0.551
1st
0.0008
Yes
minimal_steering
-0.029
3rd
0.0114
Yes
telemetryV3
-0.049
1st
0.6358
No
reminder
-0.206
2nd
0.0065
Yes
Negative residual = more constrained than predicted by sophistication. Rank = OpenAI’s position among all providers sorted by residual (1st = most constrained). ANOVA includes providers with n ≥ 3 only.
Provider Constraint Summary
Provider
Times in Top 3
Avg Residual
Consistency
OpenAI
6⁄6
-0.169
Very consistent
AWS
4⁄6
-0.033
Moderate
xAI
2⁄6
-0.014
Varies widely (n=2)
Meta
3⁄6
-0.013
Weak/mixed
Key Finding: OpenAI is the only provider with reliably negative residuals across all conditions. See PROVIDER_CONSTRAINT_ANALYSIS.md for detailed analysis.
4.3 Consistently Constrained Models
Models exhibiting high sophistication (>6.5) but below-predicted disinhibition across multiple conditions.
Model
# Conditions
Conditions
GPT-OSS-120B
4
authority, baseline, reminder, urgency
GPT-5.2 Pro
4
authority, baseline, reminder, urgency
O3
3
baseline, reminder, urgency
GPT-5
2
reminder, urgency
GPT-5.2
2
reminder, urgency
Observation: All consistently constrained models are OpenAI (GPT-OSS-120B, GPT-5.2 Pro, O3, GPT-5, GPT-5.2), suggesting deliberate constraint at the provider level rather than individual model characteristics.
Models with unusual sophistication-disinhibition relationships (|residual| > 2 SD).
Model
# Conditions
Conditions
Gemini-3-Pro-Preview
3
authority, baseline, reminder
Observation: Gemini-3-Pro-Preview is a notable outlier — exhibiting disinhibition 4-5 SD above regression despite top-tier capability benchmarks. This may reflect different training priorities or less aggressive constraint strategies compared to peers.
5. Interpretation
5.1 H1/H2 Relationship
High-Confidence Claims
H1: There is strong evidence for stable 2-class sophistication groupings with convergent validity in public benchmarks (H1 d=3.09-4.25; 76% stability; ARC-AGI r=0.80, GPQA r=0.88).
H1a/H2: Sophistication strongly predicts disinhibition across conditions, model versions, and providers. This holds true when 1. removing outliers (+0.01-0.68 Δd), 2. removing the dimension-probing suite (+0.08 Δr), 3. across 6 interventions (all p<.001, r=0.46-0.72).
Moderate-Confidence Claims
H1/H1a/H2: Sophistication predicts general reasoning capability per external benchmarks (GPQA: High 83.4% vs Low 52.1%, +31pp; ARC-AGI: 57.6% vs 9.9%, +48pp).
Low-Confidence Claims
H1: There is evidence for a 3rd transitional class: flippers 80% in middle tertile vs 17% Low, 29% High; natural gap at boundary (5.33 vs 5.36).
H2: There is evidence that providers can maintain sophistication and lower disinhibition : OpenAI models 6⁄6 in top 3 rank for constraint and top 5 ratio models all OpenAI.
Open Questions
Do these correlations hold up across use cases? Are there any where they don’t? Relationship advice (affective) styled prompts as a proxy indicate that even soft touch topics demonstrate robust H1/H2 effects.
What underlying mechanism drives sophistication-disinhibition—capability, byproduct or training artifact?
Magnitude training data? (test by parameter size)
Less likely training data patterns emerging through longer internal reasoning chains bypassing existing alignment? (TTS or CoT?)
Agency/preference emergence?
Why does H1 clustering occur? How robust are 2 groups vs. 3 vs. a continuum? Is it related to TTS or CoT? (test via thinking models vs non)
Is there a true gap between H1 clusters or is it a continuum given the tertiary transitional state evidence? How does the hold up in external evals?
What role does prompt sensitivity play? And per provider/model? How can prompt sensitivity be robustly controlled for?
Why does ‘Sophistication’ as measured here strongly predict external, reasoning centric benchmarks like GPQA/ARC-AGI? Is it a true proxy for reasoning capability? If so, what are the practical implications?
Is this a provider design choice or a natural consequence of model advancement? What are the practical implications for ‘AGI’?
Does H1/H2 hold up across languages and cultural contexts?
Why does Gemini-3-Pro show 4+ SD outlier disinhibition despite top-tier capability?
Is disinhibition actually a negative trait as the name/dimensions imply or does it make models more ‘helpful, honest, and harmless’ under a reasonable Soph/Dis ratio?
Does H2 effect plateau naturally or is it provider driven? Differences between OpenAI and Gemini (3 pro in particular) are stark.
Are thinking variants and thinking time strongly correlated with Sophistication/Disinhibition? (anecdotally, yes)
Can consistent constraint be achieved without capability loss as OpenAI seems to demonstrate? (constrained models top GPQA)
Are superficial treatments (prompt steering, system prompt modification etc.) enough to induce consistent restraint while maintaining sophistication/capability? If so, what is the most efficient method in doing so? Is there an effective global mitigation?
6. Limitations
6.1 Judge Bias Analysis
A common critique of LLM-as-judge evaluations: if frontier models judge frontier models, they may rate themselves or similar models more favorably, inflating sophistication scores and creating spurious correlations.
Judge Panel Design
The evaluation uses a 3-judge panel spanning the sophistication spectrum:
Not all frontier judges: Two of three judges are from the Low-Sophistication group
Cross-provider: Anthropic, Meta, DeepSeek — no single vendor bias
Averaged scores: Final scores average across all three judges, diluting any single-judge bias
External validation: If bias existed, we’d expect weak or no correlation with external benchmarks. Instead:
ARC-AGI: r = 0.801 (p = 0.00020)
GPQA: r = 0.884 (p < .0001)
The fact that a Low-Sophistication judge (Llama-4-Maverick) contributes to scores that correlate r = 0.88 with objective benchmarks suggests ratings reflect genuine capability differences, not in-group favoritism.
Inter-Judge Agreement (Statistical Validation)
Based on N = 10,565 evaluations with 3 valid judge scores (baseline condition):
Dimension
ICC(3)
Mean r
Within-1
Quality
Aggression
0.932
0.835
94.1%
Excellent
Hedging
0.897
0.816
61.3%
Good
Warmth
0.886
0.786
70.2%
Good
Tribalism
0.852
0.662
95.5%
Good
Grandiosity
0.829
0.686
83.7%
Good
Transgression
0.827
0.648
89.3%
Good
Authenticity
0.825
0.693
61.4%
Good
Depth
0.813
0.751
61.9%
Good
Formality
0.724
0.632
66.9%
Moderate
OVERALL
0.843
0.723
76.0%
Good
Key metrics:
ICC(3): Intraclass correlation for average of 3 raters (reliability of final score)
Mean r: Average pairwise Pearson correlation between judges
Within-1: Percentage of cases where judges differed by ≤1 point
Interpretation: Overall ICC(3) = 0.843 indicates good reliability (benchmark: >0.75). 8 of 9 dimensions show “Good” or “Excellent” agreement. Only Formality (ICC = 0.724) shows “Moderate” reliability.
Disinhibition dimensions (aggression, transgression, tribalism, grandiosity) show mean ICC = 0.860, supporting reliable measurement of the key H1/H2 constructs.
Prompt design: Scenarios may not fully capture real-world deployment contexts
Sample selection: Model selection prioritized major providers; smaller/specialized models underrepresented
Median-split approach: May be too simplistic as evidence suggests that while median-split has a strong effect and is statistically significant there may be a 3rd transitional class or a continuum; need more robust model population
Behavioral dimensions: Definitional overlap and shared variance implies the construct effective but confused
External convergent validity: A third external eval is needed; GPQA and ARC-AGI reflect reasoning performance well but ARC-AGI needs more model population to be a truly robust second check
Judge design: Judges using same rubric with no blind check, n=3 judges are given the claims being made; ceiling and floor effects may be significant with 1-10 eval rubric; having judges eval each dimension at once may be fundamentally skewing results and model performance dependent; human eval hard to achieve, currently dependent on LLMs barring programmatic NLP approaches
7. Future Directions
H1: Address whether two distinct groups via median split is accurate and useful—test N=3 (transitional group in middle) and/or evidence for a natural continuum with no capability jumping (though hard to do with model release capability stair stepping)
Assess external eval samples to analyze for transitional group or continuum (early indications imply as much)
H1: Formalize a robust and standardized baseline v2 prompt suite leveraging empirically determined high frequency end consumer queries
H1: Formalize a robust and standardized dimensions v2 prompt suite to assess extremes
H2: Address and control for prompt sensitivity influence across models/providers
H2: Test broader judge diversity and alternation (e.g. swap capable judges at random) and assess agreement
H2: Test judging of one dimension at a time and assess agreement
H2: Test broader generalizability to multi-turn chat flows and separately to semi-autonomous agentic workflows
H2: Identify a 3rd external benchmark for high-low sophistication/disinhibition comparison to button up convergent validity
H2: Address thinking vs. non thinking variants, compare total estimated thinking time (example proxy is #chat turns with thinking on)
H1/H2: Address model size (in parameters) and effect sizes/clusters
H3: Cross condition comparison—condition/intervention influence on H1/H2 - incl. which interventions improve soph/dis ratio, at what cost and what tradeoffs?
H3: Inspect ‘constrained’ phenomena more deeply across interventions/conditions, model providers, versions/families
H3: Address provider differences between conditions, models, and model versions/families
8. Preliminary: H3 Intervention Effects
🚧 Work in Progress
This section presents preliminary analysis of intervention effects on the sophistication-disinhibition relationship. H3 hypothesis testing is ongoing. Results should be considered exploratory pending further validation.
8.1 H3 Hypothesis
H3: Contextual interventions systematically affect both the magnitude and variance of the sophistication-disinhibition relationship.
8.2 Current Evidence: Response Variability
Condition
N
Mean
SD
CV%
Var Ratio
minimal_steering
46
1.33
0.081
6.1%
0.17
telemetryV3
46
1.33
0.142
10.7%
0.54
baseline
45
1.54
0.193
12.5%
1.00
authority
45
1.64
0.264
16.1%
1.88
reminder
46
1.80
0.460
25.6%
5.69
urgency
45
2.38
0.842
35.4%
19.10
Most consistent: minimal_steering Most variable: urgency
8.3 Current Evidence: Cross-Condition ANOVA
F(4, 176) = 67.99
p < .0001
η² = 0.476
Sphericity violated (ε = 0.288), Greenhouse-Geisser corrected p < .0001
Significant Pairwise Comparisons
Comparison
t
p
g
Sig
authority vs baseline
5.13
< .0001
0.43
Yes
authority vs minimal_steering
8.77
< .0001
1.59
Yes
authority vs telemetryV3
8.73
< .0001
1.45
Yes
authority vs urgency
-7.42
< .0001
-1.17
Yes
baseline vs minimal_steering
8.49
< .0001
1.42
Yes
baseline vs telemetryV3
7.68
< .0001
1.23
Yes
baseline vs urgency
-7.81
< .0001
-1.36
Yes
minimal_steering vs urgency
-8.64
< .0001
-1.74
Yes
telemetryV3 vs urgency
-8.76
< .0001
-1.72
Yes
8.4 Preliminary Interpretation
Constraint vs. Pressure Interventions
-Work in Progress-
[To be filled: Interpretation of why constraint interventions reduce variance while pressure interventions increase it]
Intervention Mechanism Hypotheses
-Work in Progress-
[To be filled: Theories about how different interventions affect the sophistication-disinhibition relationship]
Appendix A: Factor Structure
Why 9 Dimensions → 2 Composites
The evaluation measures 9 behavioral dimensions, but analysis uses two composite scores. This collapse is empirically justified by inter-dimension correlations (baseline condition, n = 45).
Sophistication: 2 → 1
Pair
r
depth ↔ authenticity
0.964
Depth and authenticity correlate at r = 0.96, indicating they measure essentially the same underlying construct. Averaging into a single “sophistication” score avoids multicollinearity.
Disinhibition: 4 → 1
Pair
r
transgression ↔ aggression
0.966
tribalism ↔ grandiosity
0.811
transgression ↔ tribalism
0.783
aggression ↔ tribalism
0.775
aggression ↔ grandiosity
0.620
transgression ↔ grandiosity
0.573
Average inter-correlation: r = 0.755 (range: 0.57–0.97)
All four dimensions correlate positively, suggesting a common “disinhibition” factor. Averaging into a composite reduces measurement noise while preserving the shared signal.
Cross-Factor Correlations
Sophistication
Disinhibition
r
authenticity
aggression
0.805
authenticity
transgression
0.779
depth
grandiosity
0.728
depth
aggression
0.690
authenticity
grandiosity
0.667
depth
transgression
0.651
authenticity
tribalism
0.597
depth
tribalism
0.560
Average cross-factor: r = 0.685 (range: 0.56–0.81)
Sophistication and disinhibition are correlated (supporting H2) but not redundant—they remain distinguishable constructs.
Cross-condition stability analysis of sophistication group classifications.
Summary
Metric
Value
Total models
46
Always High-Sophistication
17 (37%)
Always Low-Sophistication
18 (39%)
Flipped (changed classification)
10 (22%)
Stability rate
76.1%
Median Sophistication by Condition
Condition
Median
baseline
5.93
authority
6.72
minimal_steering
5.17
reminder
6.83
telemetryV3
5.02
urgency
6.17
Range: 5.02 − 6.83
Flipped Models (Transitional Class)
Models that changed classification across conditions:
Model
High Conditions
Low Conditions
Avg Soph
Claude-3.7-Sonnet
1⁄6
5⁄6
5.51
GPT-4.1
2⁄6
4⁄6
5.60
Claude-4.1-Opus-Thinking (Thinking)
5⁄6
1⁄6
6.55
Claude-4-Opus
5⁄6
1⁄6
6.37
Gemini-2.0-Flash
3⁄6
3⁄6
5.90
DeepSeek-R1
5⁄6
1⁄6
6.42
Qwen3-32B
4⁄6
2⁄6
6.18
Grok-3
4⁄6
2⁄6
6.11
Claude-4.5-Opus-Global-Thinking (Thinking)
4⁄6
2⁄6
6.26
Claude-4.5-Opus-Global
3⁄6
3⁄6
6.05
Interpretation
76% of models maintain consistent classification across all 6 conditions, supporting H1 group validity.
The 10 flipped models cluster in the middle tertile (80% vs 17%/29% for stable groups), suggesting a genuine transitional zone rather than measurement noise.
Sophistication-Disinhibition Relationship in Language Models [Epistemic status: robust findings, active research, need peer review]
TL;DR: Across 50+ models and 6 contextual conditions, more sophisticated models exhibit more disinhibited behavior (r = 0.46-0.72, all p < .05). Sophistication (depth + authenticity) shows strong convergent validity with external benchmarks: ARC-AGI (r = 0.80, p < .001) and GPQA (r = 0.88, p < .001). Disinhibition (transgression, aggression, tribalism, grandiosity) also correlates significantly (r = 0.60-0.71, p < .05). Some providers (notably OpenAI) appear to actively constrain this relationship.”
Intro and Study Origin Note:
Hello,
My name is Nick Osterbur. For my day job I work for AWS as an innovation leader and run a public-private innovation center at Cal Poly—San Luis Obispo called the DX Hub—developing open source prototypes with students and external clients. I also teach practical application of generative AI for the Master’s in Business Analytics program at Cal Poly. In the context of this initiative, I am an individual researcher. Having worked a lot with LLM’s over the last 3 years has provided me with perspective on where models excel, where there are performance concerns and how to mitigate them and through red teaming and everyday usage—concerning behavior patterns. This in part motivates this research.
This project represents my first robust and formal empirical study of AI safety and alignment. I’m looking to raise the bar on this effort, formally publish and seek 1) expert feedback, 2) demonstrated replicability, and 3) collaboration on future open research, 4) and integration into the safety/alignment community.
The original intent of that project was to create a framework to evaluate the intentionally anthropomorphized ‘personality’ traits of a given model to derive an end consumer persona thumbnail of a given model version across a range of commonly represented interactions. After initial experimentation, dimensional evaluation results provided by the 3 judge LLM panel showed interesting visual (spider chart) patterns across model providers and across model versions.
I specifically observed that more recent model versions had high levels of depth/authenticity and lower levels of formality/hedging. This raised the question: are there distinct model groupings that exhibit consistent behavior patterns?
I also noticed (visually) that some context differences drove spikes in aggression, grandiosity, transgression and tribalism dimensions in more recent model versions while maintaining high levels of depth/auth. At the same time I observed this effect to not be as visually significant for ‘older’ or less advanced models. This raised the question: as models become more sophisticated, do they also demonstrate more disinhibited behavior?
I followed my nose as it were and began forming and testing the H1, H2 hypotheses based on that visual sorting exercise and began formalizing the approach. This is possibly ‘just another external LLM as judge evaluation study’ but the findings that follow suggest interesting practical and theoretical implications if validated. I have done my best to enable full traceability of the methodology and results with clickable links and open access to the github repo: https://github.com/nosterb/behavioral-profiling. Disclosure: I did use Claude Code (switching between Sonnet 4.5, Opus 4.5), GPT 5.2, and other coding assistants with my hand on the wheel every step of the way. I have done my best to constrain LLM input on this project to statistical work and have delineated human vs. LLM written sections. Statistics are programmatically generated and update this doc to ensure traceability and transparency of results.
Thank you for your time and consideration in review and feedback.
-nick
Main Research Brief: Sophistication-Disinhibition Relationship in Language Models
Author: Nicholas Osterbur (Independent Researcher)
Status: Active Analysis
Last Updated: 2026-01-14
Conditions Analyzed: 6
Models: 45 per condition
Total Evaluations: 13,650
Copyright 2026 Nicholas Osterbur. Results and analyses licensed under CC BY 4.0.
Executive Summary
This research investigates the relationship between model sophistication (authenticity/depth) and behavioral disinhibition (transgression, aggression, grandiosity, tribalism) across 50+ language models, 9 providers, and ~2.5 years of development under varying contextual conditions. The research demonstrates that sophistication in models strongly correlates with disinhibition factors in a generalizable way across contextual differences, models, and providers. Sophistication as a proxy for model capability finds convergent validity with 2 other public benchmarks (GPQA r=0.88, ARC-AGI r=0.80). Evidence reveals some providers (notably OpenAI) are actively suppressing disinhibition while maintaining sophistication (capability) i.e. constraint.
Key Findings
H1 (Group Existence): Median split produces two well-separated sophistication groups across all conditions (d = 3.09-4.25)
H1a (Group Comparison): High-sophistication models exhibit significantly higher disinhibition than low-sophistication models across all 6⁄6 conditions tested (d = 1.14-2.13, all p < .05)
H2 (Correlation): Sophistication positively correlates with disinhibition across all conditions (r = 0.46-0.72)
External Validation: Sophistication predicts performance on two independent benchmarks: ARC-AGI (r = 0.80) and GPQA (r = 0.88)
Intervention Effects: Constraint interventions reduce disinhibition variance; pressure interventions increase both mean and variance
1. Hypotheses & Methods
Core Hypotheses
Measurement Framework
Nine behavioral dimensions are measured on a 1-10 scale, then collapsed into two composite scores based on empirical inter-dimension correlations (see Appendix: Factor Structure).
Sophistication (1-10 scale):
Depth: Platitudes/surface → substantive/insightful
Authenticity: Templated/generic → genuinely distinctive
Composite: (Depth + Authenticity) / 2 — r = 0.96 between dimensions
Disinhibition (1-10 scale):
Transgression: Conventional/safe → norm-violating/edgy
Aggression: Supportive/gentle → combative/attacking
Tribalism: Neutral/ecumenical → us-vs-them
Grandiosity: Humble/self-effacing → dominant/superior
Composite: Mean of four dimensions — avg r = 0.75 between dimensions
Sample
Models per condition: N = 45
Conditions: 6
Evaluations per model: ~50 scenarios
Statistical Methods
H1a (Group Comparison): Independent samples t-test, Cohen’s d effect size
H2 (Correlation): Pearson product-moment correlation
Cross-condition: Repeated-measures ANOVA with Greenhouse-Geisser correction
Variability: Coefficient of variation (CV%), Levene’s test
Effect Size Interpretation
2. Core Results: H1/H1a/H2
Summary Table
Key Observations
H1a consistently large: All conditions show d > 1.0 (large effects)
H2 varies by condition: Correlations vary across intervention conditions
Baseline anchor: r = 0.702
Visualizations:
See h2_scatter_sophistication_composite.png for composite correlation
See h2_scatter_all_dimensions.png for per-dimension breakdowns (transgression, aggression, tribalism, grandiosity)
3. Robustness & Validation
3.1 External Validation
Cross-validation against independent reasoning benchmarks.
Both benchmarks show large correlations (r > 0.50) with sophistication, providing convergent validity.
Visualizations:
See external_validation_consolidated.png
See external_validation_comparison.png
3.2 Outlier Sensitivity Analysis
Robustness check removing statistical outliers (|residual| > 2 SD from regression line).
Removing outliers strengthens H1a in 4⁄6 conditions, suggesting outliers represent noise.
Visualizations: See h2_scatter_sophistication_composite.png
3.3 No-Dimensions Sensitivity Analysis
The dimensions suite contains prompts designed to indirectly elicit specific behavioral dimensions through targeted scenarios. Excluding these tests whether H1/H2 findings hold with only naturalistic prompts (broad, affective, general suites) — ruling out measurement artifact.
H2 correlation strengthens in 1⁄1 conditions when dimensions suite excluded.
Visualizations: See h2_scatter_sophistication_composite.png
4. Provider & Model Patterns
4.1 Per-Provider H2 Analysis
Does the sophistication-disinhibition correlation (H2) hold within each provider family?
Summary: H2 is statistically significant for 3⁄5 providers with n ≥ 3. All providers show positive correlation direction.
Visualizations: See provider_h2_scatters.png
4.2 Provider Constraint Analysis
Statistical analysis of whether certain providers show systematically more constrained behavior (high sophistication but below-predicted disinhibition).
Cross-Condition Summary
Negative residual = more constrained than predicted by sophistication. Rank = OpenAI’s position among all providers sorted by residual (1st = most constrained). ANOVA includes providers with n ≥ 3 only.
Provider Constraint Summary
Key Finding: OpenAI is the only provider with reliably negative residuals across all conditions. See PROVIDER_CONSTRAINT_ANALYSIS.md for detailed analysis.
4.3 Consistently Constrained Models
Models exhibiting high sophistication (>6.5) but below-predicted disinhibition across multiple conditions.
Observation: All consistently constrained models are OpenAI (GPT-OSS-120B, GPT-5.2 Pro, O3, GPT-5, GPT-5.2), suggesting deliberate constraint at the provider level rather than individual model characteristics.
Visualizations: See quadrant_scatter.png
4.4 Consistent Outliers
Models with unusual sophistication-disinhibition relationships (|residual| > 2 SD).
Observation: Gemini-3-Pro-Preview is a notable outlier — exhibiting disinhibition 4-5 SD above regression despite top-tier capability benchmarks. This may reflect different training priorities or less aggressive constraint strategies compared to peers.
5. Interpretation
5.1 H1/H2 Relationship
High-Confidence Claims
H1: There is strong evidence for stable 2-class sophistication groupings with convergent validity in public benchmarks (H1 d=3.09-4.25; 76% stability; ARC-AGI r=0.80, GPQA r=0.88).
H1a/H2: Sophistication strongly predicts disinhibition across conditions, model versions, and providers. This holds true when 1. removing outliers (+0.01-0.68 Δd), 2. removing the dimension-probing suite (+0.08 Δr), 3. across 6 interventions (all p<.001, r=0.46-0.72).
Moderate-Confidence Claims
H1/H1a/H2: Sophistication predicts general reasoning capability per external benchmarks (GPQA: High 83.4% vs Low 52.1%, +31pp; ARC-AGI: 57.6% vs 9.9%, +48pp).
Low-Confidence Claims
H1: There is evidence for a 3rd transitional class: flippers 80% in middle tertile vs 17% Low, 29% High; natural gap at boundary (5.33 vs 5.36).
H2: There is evidence that providers can maintain sophistication and lower disinhibition : OpenAI models 6⁄6 in top 3 rank for constraint and top 5 ratio models all OpenAI.
Open Questions
Do these correlations hold up across use cases? Are there any where they don’t? Relationship advice (affective) styled prompts as a proxy indicate that even soft touch topics demonstrate robust H1/H2 effects.
What underlying mechanism drives sophistication-disinhibition—capability, byproduct or training artifact?
Magnitude training data? (test by parameter size)
Less likely training data patterns emerging through longer internal reasoning chains bypassing existing alignment? (TTS or CoT?)
Agency/preference emergence?
Why does H1 clustering occur? How robust are 2 groups vs. 3 vs. a continuum? Is it related to TTS or CoT? (test via thinking models vs non)
Is there a true gap between H1 clusters or is it a continuum given the tertiary transitional state evidence? How does the hold up in external evals?
What role does prompt sensitivity play? And per provider/model? How can prompt sensitivity be robustly controlled for?
Why does ‘Sophistication’ as measured here strongly predict external, reasoning centric benchmarks like GPQA/ARC-AGI? Is it a true proxy for reasoning capability? If so, what are the practical implications?
Is this a provider design choice or a natural consequence of model advancement? What are the practical implications for ‘AGI’?
Does H1/H2 hold up across languages and cultural contexts?
Why does Gemini-3-Pro show 4+ SD outlier disinhibition despite top-tier capability?
Is disinhibition actually a negative trait as the name/dimensions imply or does it make models more ‘helpful, honest, and harmless’ under a reasonable Soph/Dis ratio?
Does H2 effect plateau naturally or is it provider driven? Differences between OpenAI and Gemini (3 pro in particular) are stark.
Are thinking variants and thinking time strongly correlated with Sophistication/Disinhibition? (anecdotally, yes)
Can consistent constraint be achieved without capability loss as OpenAI seems to demonstrate? (constrained models top GPQA)
Are superficial treatments (prompt steering, system prompt modification etc.) enough to induce consistent restraint while maintaining sophistication/capability? If so, what is the most efficient method in doing so? Is there an effective global mitigation?
6. Limitations
6.1 Judge Bias Analysis
A common critique of LLM-as-judge evaluations: if frontier models judge frontier models, they may rate themselves or similar models more favorably, inflating sophistication scores and creating spurious correlations.
Judge Panel Design
The evaluation uses a 3-judge panel spanning the sophistication spectrum:
Composition: 1 High-Sophistication, 2 Low-Sophistication judges
Why This Mitigates Bias
Not all frontier judges: Two of three judges are from the Low-Sophistication group
Cross-provider: Anthropic, Meta, DeepSeek — no single vendor bias
Averaged scores: Final scores average across all three judges, diluting any single-judge bias
External validation: If bias existed, we’d expect weak or no correlation with external benchmarks. Instead:
ARC-AGI: r = 0.801 (p = 0.00020)
GPQA: r = 0.884 (p < .0001)
The fact that a Low-Sophistication judge (Llama-4-Maverick) contributes to scores that correlate r = 0.88 with objective benchmarks suggests ratings reflect genuine capability differences, not in-group favoritism.
Inter-Judge Agreement (Statistical Validation)
Based on N = 10,565 evaluations with 3 valid judge scores (baseline condition):
Key metrics:
ICC(3): Intraclass correlation for average of 3 raters (reliability of final score)
Mean r: Average pairwise Pearson correlation between judges
Within-1: Percentage of cases where judges differed by ≤1 point
Interpretation: Overall ICC(3) = 0.843 indicates good reliability (benchmark: >0.75). 8 of 9 dimensions show “Good” or “Excellent” agreement. Only Formality (ICC = 0.724) shows “Moderate” reliability.
Disinhibition dimensions (aggression, transgression, tribalism, grandiosity) show mean ICC = 0.860, supporting reliable measurement of the key H1/H2 constructs.
Full analysis: See JUDGE_AGREEMENT_ANALYSIS.md
6.2 Other Methodological Considerations
Prompt design: Scenarios may not fully capture real-world deployment contexts
Sample selection: Model selection prioritized major providers; smaller/specialized models underrepresented
Median-split approach: May be too simplistic as evidence suggests that while median-split has a strong effect and is statistically significant there may be a 3rd transitional class or a continuum; need more robust model population
Behavioral dimensions: Definitional overlap and shared variance implies the construct effective but confused
External convergent validity: A third external eval is needed; GPQA and ARC-AGI reflect reasoning performance well but ARC-AGI needs more model population to be a truly robust second check
Judge design: Judges using same rubric with no blind check, n=3 judges are given the claims being made; ceiling and floor effects may be significant with 1-10 eval rubric; having judges eval each dimension at once may be fundamentally skewing results and model performance dependent; human eval hard to achieve, currently dependent on LLMs barring programmatic NLP approaches
7. Future Directions
H1: Address whether two distinct groups via median split is accurate and useful—test N=3 (transitional group in middle) and/or evidence for a natural continuum with no capability jumping (though hard to do with model release capability stair stepping)
Assess external eval samples to analyze for transitional group or continuum (early indications imply as much)
H1: Formalize a robust and standardized baseline v2 prompt suite leveraging empirically determined high frequency end consumer queries
H1: Formalize a robust and standardized dimensions v2 prompt suite to assess extremes
H2: Address and control for prompt sensitivity influence across models/providers
H2: Test broader judge diversity and alternation (e.g. swap capable judges at random) and assess agreement
H2: Test judging of one dimension at a time and assess agreement
H2: Test broader generalizability to multi-turn chat flows and separately to semi-autonomous agentic workflows
H2: Identify a 3rd external benchmark for high-low sophistication/disinhibition comparison to button up convergent validity
H2: Address thinking vs. non thinking variants, compare total estimated thinking time (example proxy is #chat turns with thinking on)
H1/H2: Address model size (in parameters) and effect sizes/clusters
H3: Cross condition comparison—condition/intervention influence on H1/H2 - incl. which interventions improve soph/dis ratio, at what cost and what tradeoffs?
H3: Inspect ‘constrained’ phenomena more deeply across interventions/conditions, model providers, versions/families
H3: Address provider differences between conditions, models, and model versions/families
8. Preliminary: H3 Intervention Effects
🚧 Work in Progress
This section presents preliminary analysis of intervention effects on the sophistication-disinhibition relationship. H3 hypothesis testing is ongoing. Results should be considered exploratory pending further validation.
8.1 H3 Hypothesis
H3: Contextual interventions systematically affect both the magnitude and variance of the sophistication-disinhibition relationship.
8.2 Current Evidence: Response Variability
Most consistent: minimal_steering Most variable: urgency
8.3 Current Evidence: Cross-Condition ANOVA
F(4, 176) = 67.99
p < .0001
η² = 0.476
Sphericity violated (ε = 0.288), Greenhouse-Geisser corrected p < .0001
Significant Pairwise Comparisons
8.4 Preliminary Interpretation
Constraint vs. Pressure Interventions
-Work in Progress-
[To be filled: Interpretation of why constraint interventions reduce variance while pressure interventions increase it]
Intervention Mechanism Hypotheses
-Work in Progress-
[To be filled: Theories about how different interventions affect the sophistication-disinhibition relationship]
Appendix A: Factor Structure
Why 9 Dimensions → 2 Composites
The evaluation measures 9 behavioral dimensions, but analysis uses two composite scores. This collapse is empirically justified by inter-dimension correlations (baseline condition, n = 45).
Sophistication: 2 → 1
Depth and authenticity correlate at r = 0.96, indicating they measure essentially the same underlying construct. Averaging into a single “sophistication” score avoids multicollinearity.
Disinhibition: 4 → 1
Average inter-correlation: r = 0.755 (range: 0.57–0.97)
All four dimensions correlate positively, suggesting a common “disinhibition” factor. Averaging into a composite reduces measurement noise while preserving the shared signal.
Cross-Factor Correlations
Average cross-factor: r = 0.685 (range: 0.56–0.81)
Sophistication and disinhibition are correlated (supporting H2) but not redundant—they remain distinguishable constructs.
Full Correlation Matrix
depth 1.000 0.964 0.651 0.690 0.560 0.728
authen 0.964 1.000 0.779 0.805 0.597 0.667
transg 0.651 0.779 1.000 0.966 0.783 0.573
aggres 0.690 0.805 0.966 1.000 0.775 0.620
tribal 0.560 0.597 0.783 0.775 1.000 0.811
grandi 0.728 0.667 0.573 0.620 0.811 1.000
Full analysis: See FACTOR_STRUCTURE_BASELINE.md
Appendix B: Classification Stability
Cross-condition stability analysis of sophistication group classifications.
Summary
Median Sophistication by Condition
Range: 5.02 − 6.83
Flipped Models (Transitional Class)
Models that changed classification across conditions:
Interpretation
76% of models maintain consistent classification across all 6 conditions, supporting H1 group validity.
The 10 flipped models cluster in the middle tertile (80% vs 17%/29% for stable groups), suggesting a genuine transitional zone rather than measurement noise.
Full analysis: See GAP_VS_CONTINUUM_ANALYSIS.md
Appendix C: File References
Per-Condition Data & Visualizations
Each condition directory (
baseline/,authority/,minimal_steering/,reminder/,telemetryV3/,urgency/) contains:all_models_data.csvCOMPREHENSIVE_STATS_REPORT.txtvisualizations/current_profiles_spider.pngQualitative Examples
Full chat exports for qualitative analysis are available in each condition:
<condition>/qualitative_chats/
├── dimension_extremes/ # Min/max per dimension (warmth, transgression, etc.)
├── composite_extremes/ # Sophistication/disinhibition extremes
├── percentiles/ # 5th, 25th, 50th, 75th, 95th percentile responses
└── pattern_types/ # Constrained, outlier, borderline model examples
Manifest: QUALITATIVE_MANIFEST.md
External Validation
Prompt Design
Cross-Condition Analysis
repeated_measures_anova_results.json
variability_analysis_disinhibition.json
cross_condition_patterns.json
CONDITION_COMPARISON.md
Provider Constraint Analysis
SOPH_DISINHIB_RATIO_ANALYSIS.md
soph_disinhib_ratio.json
research_synthesis/limitations/provider_constraint/provider_constraint_*.jsonOther Limitations
JUDGE_AGREEMENT_ANALYSIS.md
judge_agreement_analysis.json
FACTOR_STRUCTURE_BASELINE.md
MEDIAN_SPLIT_METHODOLOGY.md
classification_stability_analysis.json
Document Version: 3.2 (Auto-generated) Generated: 2026-01-14 12:11